铁电相变

第六章 氧化还原反应4
图片尺寸1080x810
合金钢的相变温度高于碳素钢,所以:碳素钢与合金钢在淬火加热
图片尺寸500x504
原创scienceadvances发现魔梯反铁电陶瓷温致相变重要进展
图片尺寸1080x1131
作者表示,该研究工作不仅利用新的铁电相变机理实现了一例性能优越
图片尺寸667x500
铁碳相图终于弄明白了
图片尺寸768x660
摘抄铁电体物理学Ⅲ铁电相变的微观理论3
图片尺寸620x731
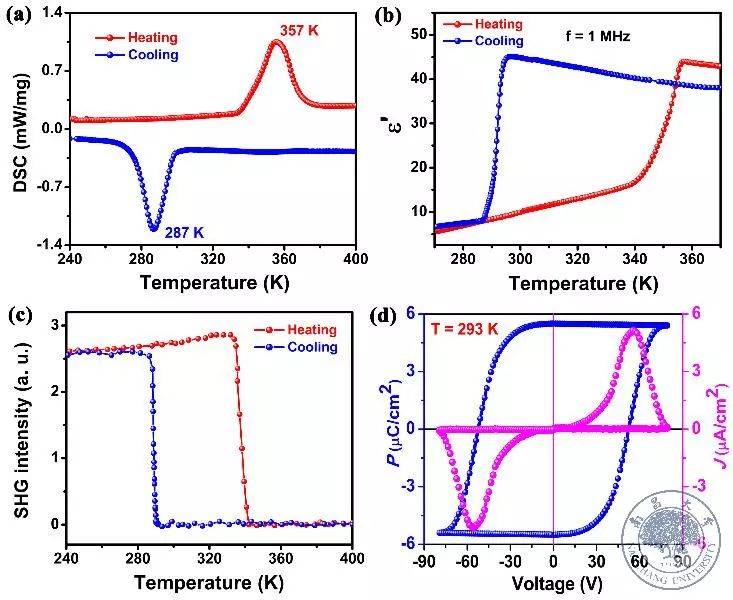
在加热和冷却冷却过程的(a) dsc曲线,tc = 457 k处存在可逆的一级相变
图片尺寸647x525
bczt无铅压电陶瓷的铁电相变
图片尺寸364x496
南昌大学蔡琥团队成功设计合成出了一例类陶瓷的分子铁电体
图片尺寸733x600
摘抄铁电体物理学Ⅱ铁电相变的宏观理论2
图片尺寸520x496
bczt无铅压电陶瓷的铁电相变
图片尺寸654x565
堆叠gese结构的相变反铁电铁电
图片尺寸778x389
请问为什么铁电晶体的介电温谱中升降温曲线不重合
图片尺寸800x353
高温铁电材料的相变特性及其退极化性能
图片尺寸391x271
一种通过掺杂实现弛豫正常铁电相变的材料及其方法
图片尺寸444x348
钨青铜铁电体的束腰电滞回线与场致相变
图片尺寸1080x559
热处理人一定要懂得的金属学以及热处理知识
图片尺寸271x251
工程材料基础_03 材料的凝固,固态相变与二元合金相图_33 铁碳合金
图片尺寸960x540
第四章铁电相变的微观理论2011
图片尺寸800x600
应变记忆效应对磁热材料滞后损耗的非易失性调控
图片尺寸500x494