银杏二萜内酯

银杏二萜内酯葡胺入选中华医学会《中国急性缺血性卒中诊治指南2023》
图片尺寸615x416
银杏二萜内酯葡胺注射液
图片尺寸540x340
银杏二萜内酯葡胺注射液
图片尺寸502x333
创新引领国药担当康缘药业重磅研究成果荣获第21届中国专利金奖
图片尺寸638x328
缺血性脑卒中治疗创新药物银杏二萜内酯葡胺注射液的研制及产业化
图片尺寸2200x1334
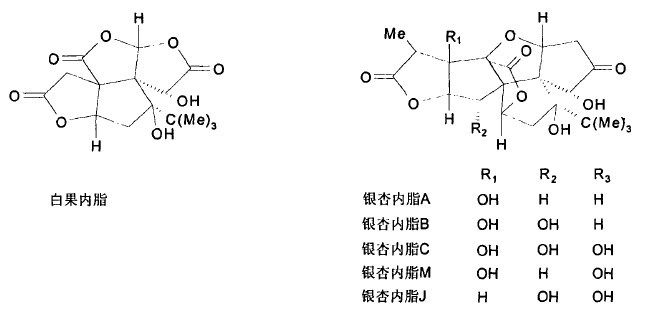
银杏叶中二萜内酯化合物结构fig.
图片尺寸660x483
银杏内酯b
图片尺寸1560x2080
【药品名称】银杏二萜内酯葡胺注射液【批准文号】国药准字z20120024
图片尺寸500x330
银杏内酯
图片尺寸588x504
银杏内酯注射液说明书
图片尺寸500x375
银杏内酯a
图片尺寸1560x2080![[付款后联系客服]康缘 银杏二萜内酯葡胺注射液5ml*5支 挂号问诊取药](https://i.ecywang.com/upload/0/t13.baidu.com/it/u=440316667,2122401336&fm=224&app=112&f=JPEG?w=500&h=496)
[付款后联系客服]康缘 银杏二萜内酯葡胺注射液5ml*5支 挂号问诊取药
图片尺寸545x541![[付款后联系客服]康缘 银杏二萜内酯葡胺注射液5ml*5支 挂号问诊取药](https://i.ecywang.com/upload/0/t15.baidu.com/it/u=3182985046,3731713226&fm=224&app=112&f=JPEG?w=500&h=500)
[付款后联系客服]康缘 银杏二萜内酯葡胺注射液5ml*5支 挂号问诊取药
图片尺寸800x800
银杏内酯
图片尺寸649x310
银杏二萜内酯葡胺入选中华医学会《中国急性缺血性卒中诊治指南2023》
图片尺寸1080x457
银杏二萜内酯对缺血再灌注大鼠脑组织中神经递质的影响
图片尺寸700x477
银杏内酯c
图片尺寸1662x2726
银杏内酯c
图片尺寸708x405
【药师说药】深秋赏银杏遍地金黄,聊一聊银杏的那些事儿
图片尺寸694x1028
银杏内酯b
图片尺寸360x360