银离子结构示意图

ag(银)的光度测定方法 银的光度测定法大都基于与一价银离子的
图片尺寸752x452
银元素(ag)银原子结构示意图模型8042864矢量图片免抠素材
图片尺寸504x360
朗亿新材告诉你银离子为什么能持久抗菌?
图片尺寸800x343
为什么在常温下加入还原剂就能实现的是银离子到银而不是二氧化锰到锰
图片尺寸300x225
如图中a,b,c,d是四种粒子的结构示意图,e是银元素在元素周期表中的
图片尺寸460x110
银离子
图片尺寸473x459
【科普】银离子抗菌剂能杀灭新冠病毒吗?缺乏科学依据
图片尺寸600x429
细菌|银离子|活性炭|高浓度|紫外线_网易订阅
图片尺寸660x393
谁给我画一下一下离子结构示意图!是离子
图片尺寸980x459
银离子抗菌机理
图片尺寸600x600
离子结构示意图,阴阳离子的结构示意图与原子结构示意图的的区别,分子
图片尺寸657x320
关计算 由表2-1可以看出,碱金属除铯略带金色光泽外,其余的都是银白色
图片尺寸536x484
基于噻菌灵银配合物修饰的keggin型晶态材料及其合成方法和在hg2 离子
图片尺寸959x1000
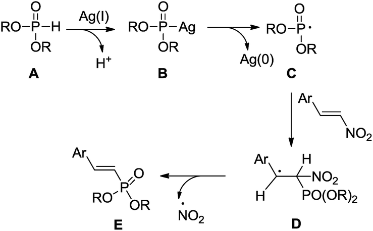
silver-catalyzed synthesis of 2-arylvinylphosphonate
图片尺寸739x458
(2) 图2中硫原子的结构示意图是________.
图片尺寸367x223
c4d 银离子杀菌 消除细菌 病毒
图片尺寸500x356
用银增敏示意图
图片尺寸684x308
稀土元素铥的信息如图所示,下列说法正确的是( )
图片尺寸469x155
银离子纤维结构 渲染
图片尺寸1280x1948
九年级化学,原子结构示意图的画法,区分阳离子和阴离子 - 265学校教育
图片尺寸640x483