阻尼比

这个二阶系统的阻尼比和固有频率怎么看
图片尺寸720x803
单自由度系统自由衰减振动及固有频率,阻尼比的测定
图片尺寸2387x851
振动相关知识 由自由振动确定固有频率和阻尼 阻尼固有频率 f d
图片尺寸1080x810
双自由度系统的黏性阻尼和损耗因子阻尼的动态响应比较.
图片尺寸720x540
位移型阻尼器等效阻尼比计算方法
图片尺寸561x492
cc=临界阻尼值 阻尼比值越高,机构经 共振区时越快回复 平衡状态.
图片尺寸375x526
(5)振荡次数n 对欠阻尼二阶系统,振荡周期 n仅与阻尼比有关,阻尼越大
图片尺寸1080x810
称为无阻尼自由震荡周期,ωn=1/t为系统的无阻尼固有频率,ξ为阻尼比
图片尺寸512x321
阻尼比
图片尺寸520x421
附加黏滞阻尼器结构附加等效阻尼比算法研究
图片尺寸1200x1819
最大超调量与阻尼比的关系
图片尺寸920x1303
结构的动力计算(例阻尼) 方喻飞ppt
图片尺寸1080x810
2016 vorsteiner lamborghini aventador zaragoza edizion
图片尺寸2560x1440
其阻尼比阻尼系数或者说损耗系数阻尼系数定义为谐振频率阻尼比的两倍
图片尺寸673x471
显示阻尼系统中的自由振动衰减的一维绘图.
图片尺寸513x257
b,动态性能指标/模型参数(闭环系统) 时间常数 衰减系数 阻尼振荡
图片尺寸1080x810
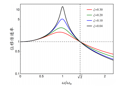
画出不同阻尼比情况下,振幅比随频率比变化的曲线
图片尺寸422x289
豪车云集 | 2018 uci速降世界杯伦策海德站豪车欣赏
图片尺寸1080x720
化工机械基础 复习:一对齿轮的传动比 复习: 外啮合 1 "—"表示两轮
图片尺寸1080x810
阻尼阻尼系数阻尼比
图片尺寸920x1302