降幂

三角函数之降幂公式
图片尺寸557x699
降幂公式
图片尺寸700x501
三角函数降幂公式
图片尺寸540x720
降幂公式
图片尺寸300x208
期中每日一道经典题型 代数式求值~降幂法 #初中数学 #数学 - 抖音
图片尺寸1440x1802
降幂公式
图片尺寸665x488
三角函数之降幂公式
图片尺寸555x787
三角函数降幂公式 数学中,我们会学到有关三角形的一些常见的公式,本
图片尺寸496x702
降幂公式及其应用ppt
图片尺寸1080x810
降幂公式
图片尺寸261x300
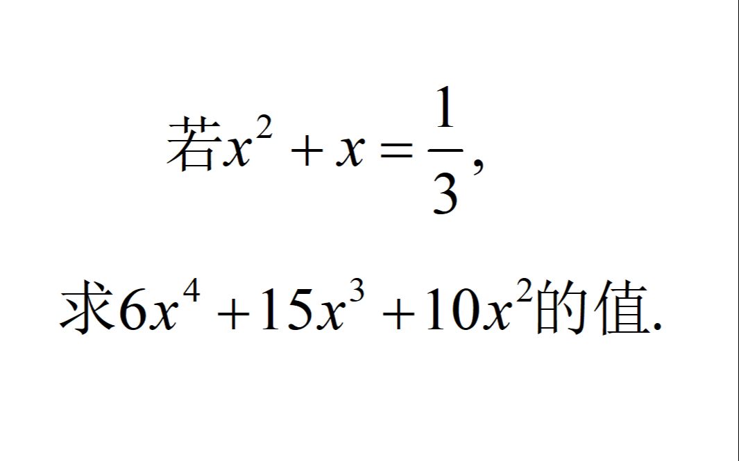
若x05 x=1/3,求6x66 15x06 10x05的值,降幂法
图片尺寸1065x665
1-cos 2α (2)降幂公式:sin α= ; cos2α= 1 cos 2α
图片尺寸1080x810
我们数学老师老是说降幂公式什么叫做降幂公式啊
图片尺寸618x759
三角函数降幂公式推导及应用
图片尺寸522x163
三角函数n倍角公式与降幂公式怎么证明
图片尺寸633x499
高等数学公式之降幂公式和万能公式
图片尺寸421x192
23, 二倍角公式及降幂公式
图片尺寸446x155
这道题用降幂公式怎么化?
图片尺寸656x492
降幂公式及其应用ppt
图片尺寸1080x810
降幂公式 - 百度文库
图片尺寸496x702