随机样本

写出下列随机试验的样本空间及下列事件包含的样本点(1)掷一颗骰子
图片尺寸1280x720
概率论——随机试验,随机事件,样本空间
图片尺寸650x612
随机样本直方图统计量4ppt
图片尺寸800x600
61随机样本ppt
图片尺寸800x600
由于随机数表是等概率的,因此利用随机数表 抽取样本保证了被抽取个体
图片尺寸1080x810
随机样本一致性一种用于图像分析和自动制图的模型拟合模型6计算共线
图片尺寸688x741
两独立样本t检验-spss操作详解 为了解某一新药降血压的效果,将28名高
图片尺寸496x702
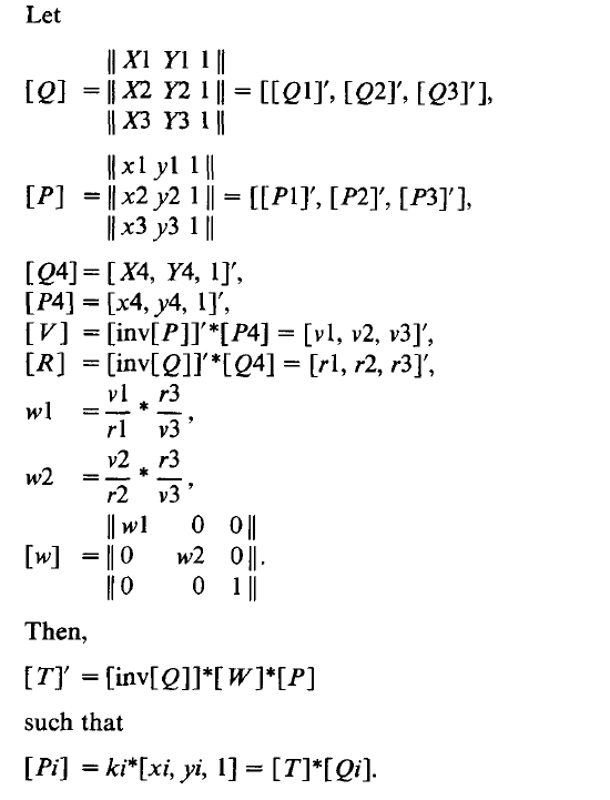
随机样本一致性一种用于图像分析和自动制图的模型拟合模型6计算共线
图片尺寸550x721
随机抽取20个样本,放在a25开始的单元格区域内.
图片尺寸959x538
随机查看样本 sample(n)
图片尺寸652x285
写出下列随机试验的样本空间及下列事件包含的样本点(1)掷一颗骰子
图片尺寸1280x720
概率论学习笔记简单随机抽样样本
图片尺寸600x336
运用 make_blobs 生成本节示例数据,300 个随机样本分为四个类型,如下
图片尺寸871x621
问卷调研结果的可信度随机抽样与调研样本量
图片尺寸1080x531
1 随机样本ppt
图片尺寸1080x810
d6-1 随机样本9p
图片尺寸1080x810
6.1 简单随机样本
图片尺寸1920x1018
问卷调研结果的可信度随机抽样与调研样本量
图片尺寸1080x703
statistics under random sample size 随机样本下的多元序统计量
图片尺寸800x800
xn)是取自人群中的随机样本,有限方差var=(sigma)^2,证明es =sigma
图片尺寸1280x960