雪卡毒素

雪卡毒素,西加毒素
图片尺寸300x300
雪卡毒素的全合成
图片尺寸500x237
雪卡毒素是一种脂溶性神经毒素,比河豚毒素强100倍,是已知的对哺乳
图片尺寸597x807
【预售】英文原版 ciguatera volume 2 雪卡毒素第2卷 minoru furuya
图片尺寸800x800
【预售】英文原版 ciguatera volume 3雪卡毒素 第3卷 minoru furuya
图片尺寸800x800
(含雪卡毒素的鱼类)
图片尺寸1080x704
雪卡毒素
图片尺寸640x425
强100倍,是已知的危害性较严重的赤潮生物毒素之一,已发现3类雪卡毒素
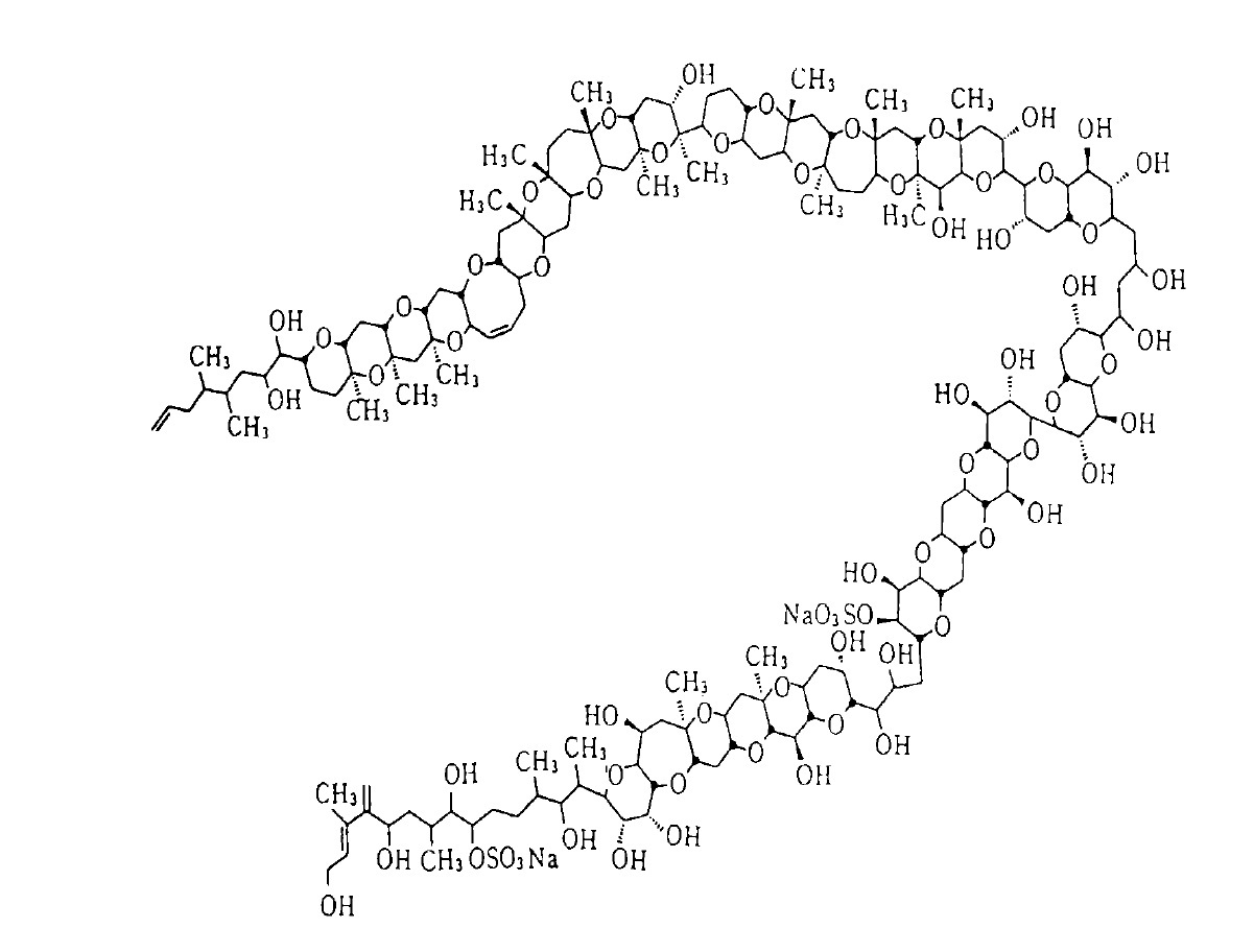
图片尺寸1165x920
强100倍,是已知的危害性较严重的赤潮生物毒素之一,已发现3类雪卡毒素
图片尺寸960x540
1957年,这种贝壳类的毒素在(saxidomus giganteus)中所分离出的石房蛤
图片尺寸660x343
p>刺尾鱼毒素(maitotoxin,mtx)是由岗比甲藻类产生,经食物链蓄积于刺
图片尺寸1201x912
sn/t 3038-2011 出口海产品中西加毒素的检测.小鼠生物法 仪器设备
图片尺寸595x842
雪卡毒素——让你冷热颠倒的生物毒素
图片尺寸720x405
雪卡毒素的真相facts about ciguatera超过400种已知鱼类被分类为潜在
图片尺寸404x294
雪卡毒素属于获得性毒素,是生活在珊瑚礁周围海域的鱼类摄入含有雪卡
图片尺寸1080x313
11,雪卡毒素(17青春遁走)
图片尺寸718x1200
作用,使得涡鞭毛藻中所主要的脂溶性毒素成分「雪卡毒素(ciguatoxin
图片尺寸660x372
新石房蛤毒素,β-n-甲氨基-l-丙氨酸,刺尾鱼毒素,雪卡毒素/西加毒素
图片尺寸1279x1279
预防食品中毒,须了解一些食物中所含的天然毒素,主要有以下几种:1)
图片尺寸543x345
中毒原因摄食了含有雪卡毒素的海鱼(珊瑚鱼为主)而引起.
图片尺寸640x414