零的阶乘

特别提醒:0的阶乘等于1
图片尺寸1080x1115
python求前n项的阶乘之和
图片尺寸589x461
在数学中,零的阶乘为什么等于1?
图片尺寸640x486
揭秘数学奇趣:零的阶乘为啥是"1"
图片尺寸1080x1154
零基础学算法->阶乘
图片尺寸1839x701
三年级数学 #期中考试 中间有0的乘法,末尾有0的乘法和 - 抖音
图片尺寸1398x1814
阶乘后的零
图片尺寸1228x670
质数通项公式 无阶乘 无指数 复杂度o(alna)^2.
图片尺寸3508x2480
请问亿的阶乘末尾几个零?
图片尺寸707x699
阶乘中的零
图片尺寸956x461
阶乘问题 python
图片尺寸4096x3072
为什么零的阶乘等于一?
图片尺寸1050x828
为什么0的阶乘等于1?
图片尺寸660x880
高精度阶乘计算公式
图片尺寸1447x2048
阶乘后的零
图片尺寸639x400
为什么零的阶乘等于一?
图片尺寸1000x533
行列式某一行乘以别的行的代数余子式为零
图片尺寸1920x1440
python小程序分享14-阶乘的两种实现方法 本次分享的小程序为阶乘的
图片尺寸2335x1280
阶乘的和c语言
图片尺寸1622x2162
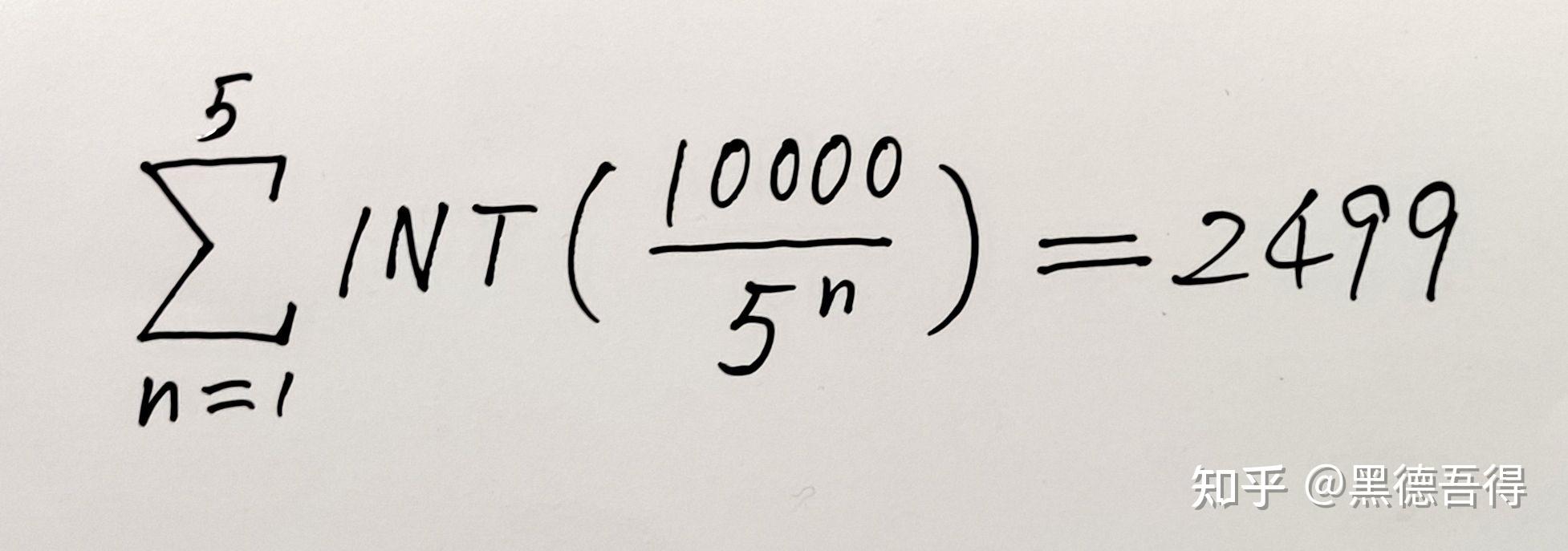
10000的阶乘这个数尾数有几个零?
图片尺寸1954x687