雷诺应力

雷诺应力耗散 项eij
图片尺寸1080x810
复杂了,除了平均速度的应力,上式中还多了脉动应力项,称之为雷诺应力
图片尺寸645x710
表面活性剂紊流输水减阻的雷诺应力及能量传递-长江科学院院报.pdf
图片尺寸800x1217
图6:rans模型脉动速度在流动中最直观的表现就是漩涡,因此雷诺应力
图片尺寸1080x765
图3 零压,逆压下q1, q2, q3, q4对雷诺应力的贡献
图片尺寸3780x1724
06 与雷诺应力失之交臂
图片尺寸922x419
湍流建模06雷诺应力模型下
图片尺寸708x364
无量纲化雷诺应力分布fig.
图片尺寸700x335
雷诺应力
图片尺寸449x165
计算流体力学part1(基础知识2)ppt
图片尺寸1080x810
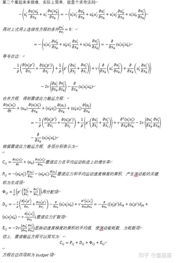
菜鸟记录雷诺应力输运方程budget项推导
图片尺寸610x910
基于雷诺应力方程模型的超高层建筑外墙平均风压模拟
图片尺寸336x208
包含两部分: 粘性切应力 du τl = µ dy 附加切应力(雷诺应力)
图片尺寸1080x810
3第五节讲:动量传递现象ppt
图片尺寸1080x810
菜鸟记录雷诺应力输运方程budget项推导
图片尺寸588x850
看好多文献中 用的是大涡模拟,而且出来了雷诺应力的分布曲线,我想
图片尺寸662x505
速度梯度,但是直到23年后的1895年,雷诺平均的n-s方程才被正式提出,而
图片尺寸1080x493
rsm雷诺应力模型ppt
图片尺寸1080x810
cfd01层流湍流边界层湍流强度
图片尺寸690x531
湍流建模06雷诺应力模型下
图片尺寸1000x534