霍夫曼反应

有机考研常考人名反应hofmann重排
图片尺寸1920x1080
p>霍夫曼降解反应或霍夫曼重排反应( b>hofmann rearrangement /b>)
图片尺寸605x252
hofmann重排反应
图片尺寸505x157
霍夫曼重排反应
图片尺寸1080x809
知识回顾: 1,季铵碱加热分解得到烯烃的反应称为霍夫曼消除反应 ch3
图片尺寸1080x810
霍夫曼消除反应
图片尺寸689x400
霍夫曼重排(hofmann rearrangement)
图片尺寸478x170
制药工程)ppt 有机化学 4 有机锌试剂-瑞福马斯基(reformatsky,s)反应
图片尺寸1080x810
hofmann重排
图片尺寸1028x385
霍夫曼降解重排
图片尺寸1024x576
霍夫曼规律
图片尺寸488x277
铵态氮肥有哪些种类_大全-幸福起航
图片尺寸800x600
这一步是什么反应机理
图片尺寸605x252
及制备 胺的分类,结构和重要的化学性质 季铵盐的性质及霍夫曼规则 胺
图片尺寸680x510
图1.胺与酸位点反应,通过类似霍夫曼消除反应分解成丙烯和氨
图片尺寸1055x742
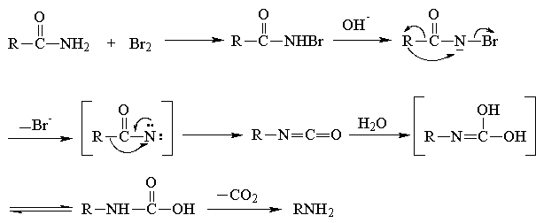
hofmann重排反应的机理
图片尺寸741x316
某同学利用霍夫曼水电解器制取并收集氢气,请你陪她完成下列问题
图片尺寸284x254
腈基霍夫曼降解
图片尺寸544x205
今日掌握cope消除,氧化加热消除β碳上的氢产生霍夫曼烯烃的反应.
图片尺寸366x318
估计在3级以上,双侧二头肌反射消失,双侧肌反射( ),双侧霍夫曼征( )
图片尺寸600x1329