青蒿素生物合成

青蒿素生物合成途径
图片尺寸720x579
让我们看一下黄花蒿植物细胞是如何合成青蒿素的
图片尺寸940x1254
青蒿素的生物合成研究
图片尺寸774x535
我国化学家在确认青蒿素分子结构之后实现了
图片尺寸554x291
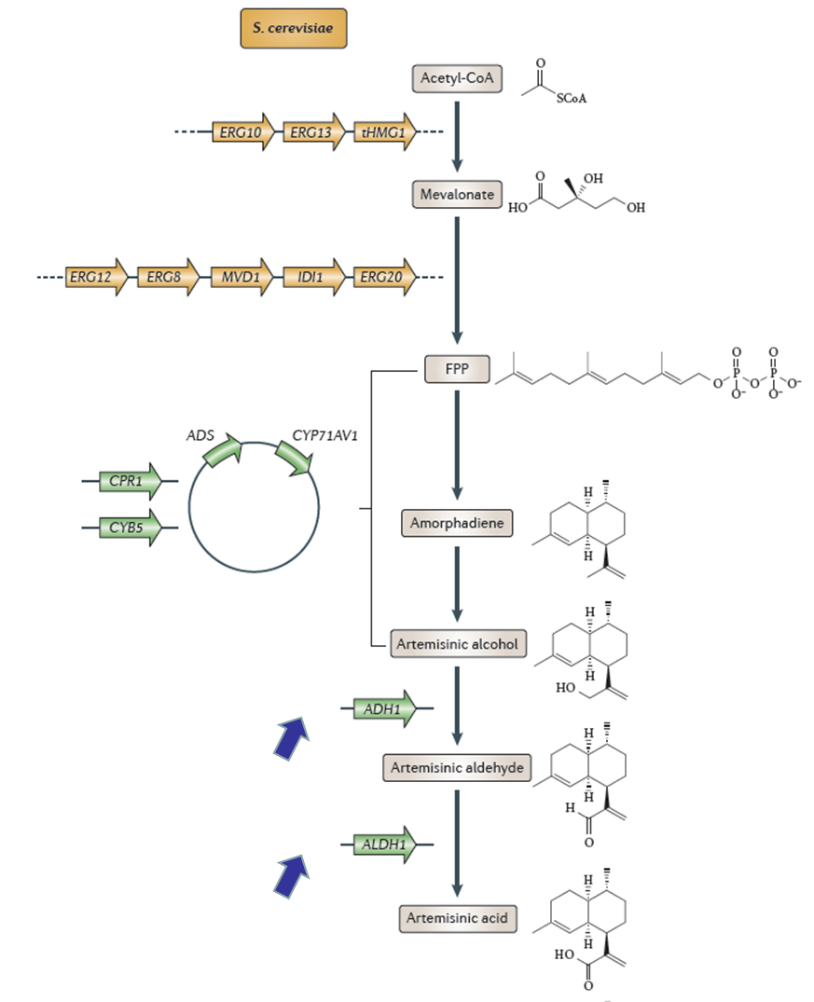
在微生物中合成青蒿酸(合成青蒿素的前体),使得合成生物学名声大噪,再
图片尺寸560x370
h o s)而获得诺贝尔奖,青蒿素的一种化学合成路线如图
图片尺寸480x200
青蒿素的使用也面临了很多挑战,首先是价格和可用性,其次是质量,最后
图片尺寸554x292
生物合成青蒿素的生物合成主要是通过代谢工程来完成.
图片尺寸382x314
青蒿素的合成路线 - 知乎
图片尺寸1340x648
青蒿素人工合成的部分反应流程如下
图片尺寸566x214
微生物生产青蒿素的过程 (hiroko tsuruta1, et al. plos one. 2009)
图片尺寸1080x810
科学网—青蒿素:人工合成新方法 - 诸平的博文
图片尺寸603x380
有机化合物科普-青蒿素
图片尺寸1440x1920
中药现代化的策略浅析——以青蒿素合成为例(中)
图片尺寸814x1002
《合成生物学及青蒿素合成.ppt》
图片尺寸1152x864
青蒿素的全合成高通量连续化反应器示意图
图片尺寸624x353
青蒿素gai-合成生物学_青蒿素在合成生物学中的研究进展ppt
图片尺寸1080x810
关于合成生物,举两个应用案例来帮助大家了解,一是青蒿素,二是淀粉.
图片尺寸1080x609
29) 青蒿素的合成ppt
图片尺寸1080x810
青蒿素,二氢青蒿素,蒿甲醚的化学合成路径
图片尺寸893x488