非那西丁结构

非那西丁结构式图片
图片尺寸605x375
非那西丁|phenacetin|62-44-2|adamas|98%|rg|250g
图片尺寸1242x472
非那西丁副作用有哪些
图片尺寸460x300
非那西汀,98%
图片尺寸484x300
非那西丁的说明书
图片尺寸313x295
西地那非结构式
图片尺寸371x283
非那西汀
图片尺寸300x300
西地那非
图片尺寸1585x703
sitagliptin structure
图片尺寸331x331
氟西汀结构式
图片尺寸365x365
匹伐他汀结构式
图片尺寸365x365
非那西汀
图片尺寸556x426
西地那非|sildenafil|139755-83-2|参数,分子结构式,图谱信息 - 物竞
图片尺寸506x192
非奈西林a.
图片尺寸469x213
b.非奈西林
图片尺寸399x166
二μ碘代二乙二胺硝酸二铂ii
图片尺寸300x300
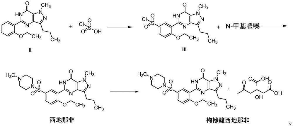
cn111116591a_一种制备枸橼酸西地那非的方法在审
图片尺寸1000x432
非那西丁
图片尺寸484x300
盐酸达泊西汀|dapoxetine hydrochloride|129938-20-1|tci|98.
图片尺寸964x915
高二化学题
图片尺寸391x255