韩文汉字朝鲜

汉字在朝鲜半岛读作hanja,音译音汉甲
图片尺寸640x640
汉字在韩国存在上千年 韩国想彻底舍弃真的很难_韩文专_朝鲜半岛_文字
图片尺寸1589x776
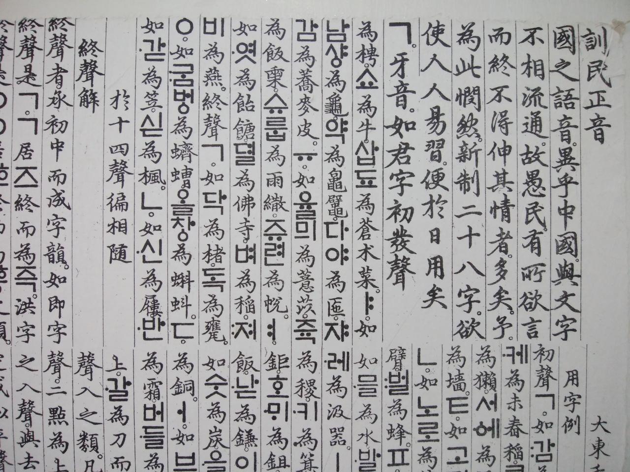
朝鲜汉字
图片尺寸1246x1920
为什么韩国人的身份证上有中文名字朝鲜半岛汉字简史
图片尺寸587x781
近世朝鲜语千字文朗读3坚持雅操用军最精
图片尺寸1382x864
随便挑几个韩文字,看看它们都对应哪些朝鲜汉字.
图片尺寸1080x1341
朝鲜人也有用汉字的时候,但怎么就不用了呢?地球知识局_文字
图片尺寸733x461![汉字1000 [韩国原版 朝鲜文]](https://i.ecywang.com/upload/1/img2.baidu.com/it/u=2095976722,637224482&fm=253&fmt=auto&app=138&f=JPEG?w=375&h=500)
汉字1000 [韩国原版 朝鲜文]
图片尺寸780x1040
朝鲜人民用汉字取名字?竟然和老祖宗有关!
图片尺寸1080x649
中日韩越汉字词对比-朝鲜/北朝鲜/北韩
图片尺寸1212x681
民国【韩石峰千字文】(汉文,朝鲜文对照)
图片尺寸1803x1352
朝鲜战争时候韩国人还是用中文的
图片尺寸700x856
朝鲜语中的汉字使用(1) 注:朝韩语言上的差异不是本文焦点,故本文中不
图片尺寸1317x1280
汉字在韩国存在上千年 韩国想彻底舍弃真的很难_韩文专_朝鲜半岛_文字
图片尺寸1593x766
这种全东亚最简单的文字,半天就能会_汉字_中国_朝鲜半岛
图片尺寸1080x1404
朝鲜语中的汉字使用(1) 注:朝韩语言上的差异不是本文焦点,故本文中不
图片尺寸2110x1280
中国_时候_朝鲜半岛
图片尺寸425x448
朝鲜半岛引入了一整套汉字,保留了完整的汉字发音体系,来听一下韩文
图片尺寸1728x1080
韩国和越南已经创立了自己的文字,未来有可能恢复汉字吗?
图片尺寸563x291
朝鲜语中的汉字使用(2
图片尺寸1280x960