马尔可夫链模型

如何理解马尔可夫链?
图片尺寸2315x1490
原理推导 算法实现 实验分析,轻松学透隐马尔可夫模型,太通俗易懂了!
图片尺寸960x540
马尔可夫链模型通常用来建模排队理论和统计
图片尺寸814x455
马尔可夫链
图片尺寸1050x1155
马尔可夫链模型通常用来建模排队理论和统计
图片尺寸809x508
马尔可夫链:随机过程的数学模型
图片尺寸900x1200
马尔可夫链:随机过程的核心模型
图片尺寸693x663
马尔可夫链模型
图片尺寸1991x2818
马尔科夫链
图片尺寸950x500
马尔可夫链:模型,算法与应用 /wai
图片尺寸1200x1600
马尔可夫链:模型,算法与应用 /wai
图片尺寸1600x1600
马尔可夫模型
图片尺寸493x354
马尔可夫链最简单解释!轻松学透隐马尔可夫模型,真是太简单易懂了!
图片尺寸1146x717
正版旧书马尔可夫链 模型,算法与应用 应用数学译丛wai
图片尺寸800x800
nlp揭秘马尔可夫模型神秘面纱系列文章一
图片尺寸550x432
正版旧书 马尔可夫链:模型,算法与应用
图片尺寸800x800
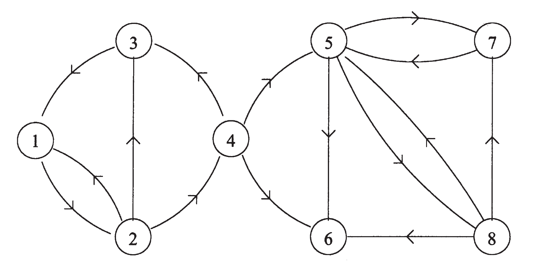
马尔可夫链
图片尺寸1808x944
01 隐马尔可夫模型
图片尺寸1240x540
马尔可夫链:模型,算法与应用
图片尺寸771x1000
马尔可夫链(markov chain)
图片尺寸636x358