马来酰亚胺水解

4-arm peg-mal是一种在4臂末端各有一个马来酰亚胺官能团的产物
图片尺寸300x300
342新疆农业大学李君副教授团队马来酸酐功能化纤维素纳米晶体稳定
图片尺寸720x441
mal-peg8-acid,maleimide peg8 cooh中文名:马来酰亚胺基-peg8-丙酸
图片尺寸1055x144
bc马来酰亚胺(bc-maleimide),用于生物分子的定向标记
图片尺寸760x271
精读hpj中科院兰州化物所曾凡逵团队植物激素转录因子
图片尺寸720x521
thp-mal thp 马来酰亚胺 cas:1314929-99-1的主要应用领域
图片尺寸412x385
琥珀酰亚胺 反应机理环仲醇苷结构primary amine与nhs
图片尺寸2950x5989
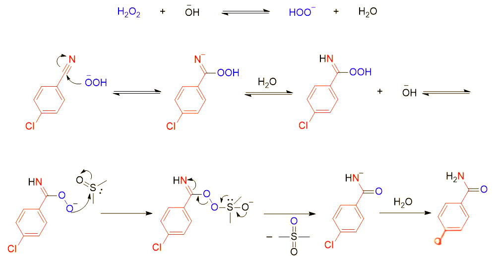
h2o2/dmso体系水解腈制备酰胺的快速反应机理探讨
图片尺寸1000x517
高考化学双水解方程式全解析
图片尺寸1754x2530
科研用试剂材料pllpegmal聚赖氨酸聚乙二醇马来酰亚胺的应用说明
图片尺寸1470x761
地高辛马来酰亚胺(digoxigenin mal)用于生物分子标记和检测
图片尺寸1381x359
脱水缩合反应
图片尺寸1080x810
含1,3,4-噁二唑结构双马来酰亚胺及其制备方法
图片尺寸1537x488
农药水解作用
图片尺寸1517x709
有机合成与推断大题
图片尺寸1192x671
bc马来酰亚胺(bc-maleimide),用于生物分子的定向标记
图片尺寸1536x1536
但是酰胺的进一步水解会受阻,因为酰胺中氨基的氮原子有孤对电子,可
图片尺寸1080x579
mal-peg-acrylate,马来酰亚胺peg丙烯酸酯可用于制备各种纳米材料和
图片尺寸2353x1200
3,4-dibromo-mal-peg8-acid作为连接子,其一端的马来酰亚胺基团与抗体
图片尺寸751x133
af633 c5 maleimide ,af633 c5 马来酰亚胺用于抗体,酶,细胞表面蛋白
图片尺寸973x469