高数微积分

高数数学微积分,洛必达法则泰勒公式求极限.谢谢点赞哔哩:海离 - 抖音
图片尺寸1440x2252
ap微积分课堂#微积分教学 #高数吉祥哥#吉祥哥微积分#大学数学每日
图片尺寸1236x2676
让我怎么学 4天前·湖南 2 分享 回复 ap微积分高数吉祥哥 作者 .
图片尺寸792x1120
高数微积分公式大全doc
图片尺寸920x1302
高等数学微积分常用积分表推导
图片尺寸1653x2338
高等数学微积分常用积分表推导
图片尺寸1653x2338
高等数学微积分常用积分表推导
图片尺寸1653x2338
高等数学微积分常用积分表推导
图片尺寸1653x2338
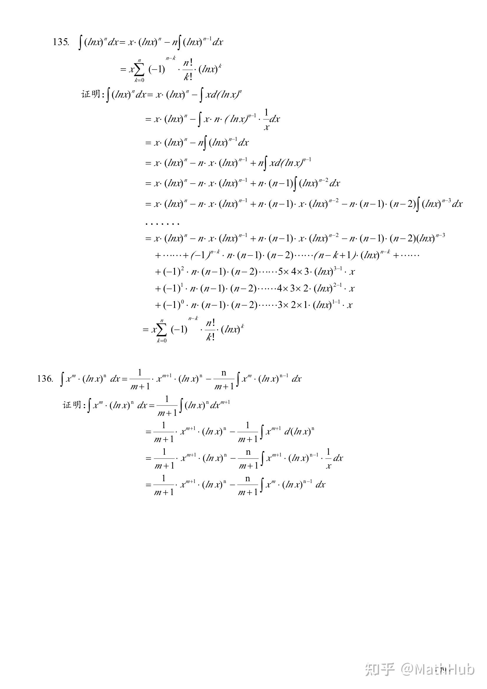
高等数学(微积分)常用积分表推导
图片尺寸1653x2338
大学数学高等数学微积分课堂高数公式.
图片尺寸1080x1379
大学数学高数微积分公式#大学数学公式#大学数学#大学数学吉祥 - 抖音
图片尺寸1280x1689
高等数学(微积分)常用积分表推导
图片尺寸1653x2338
常用的微积分公式#高数 #微积分 #抖音图文来了 #每天学习 - 抖音
图片尺寸1080x1440
十年日经题,高数数学微积分泰勒公式求极限.谢点赞哔哩:海离薇 - 抖音
图片尺寸1440x1698
高数微积分基本公式大全
图片尺寸1080x1439
大学数学课堂高等数学微积分不定积分公式.
图片尺寸1244x1658
大学数学高等数学微积分.
图片尺寸1080x1395
大学数学公式微积分公式,大学数学公式,高等数学公式微积分公式
图片尺寸671x552
高等数学高数微积分.高等数学分析高数微积 - 抖音
图片尺寸888x1280
高数考试必过,知识点总结 #微积分 #期末考 #期末考试前的 - 抖音
图片尺寸1440x2640