高数极限

高数极限
图片尺寸1701x1701
高数|求极限50题,考前极限题速成73.#高数 #高等数学 # - 抖音
图片尺寸1080x1440
高等数学极限习题500道
图片尺寸920x1302
高数的极限问题,主要记哪些公式啊?
图片尺寸455x574
大学高数极限公式大全
图片尺寸986x1246
尽量不使用洛必达,有笔误欢迎指正#高数 #考研数学 #极限
图片尺寸1080x1439
专升本高数每日一练左右极限
图片尺寸1064x1261
高数考研真题极限计算专题
图片尺寸920x1302
大学数学求极限常用公式及简单套用
图片尺寸870x1064
高数八个重要极限公式是什么?
图片尺寸499x350
一道高数极限题
图片尺寸640x960
高数 第二类重要极限
图片尺寸1600x900
高等数学常用极限求法
图片尺寸800x1130
高数求极限|两个重要极限公式
图片尺寸960x1280
高数中的极限公式都有哪些?
图片尺寸1701x2948
大学数学求极限常用公式及简单套用
图片尺寸870x1110
高数极限运算求解
图片尺寸1512x1512
高数题求助
图片尺寸648x366
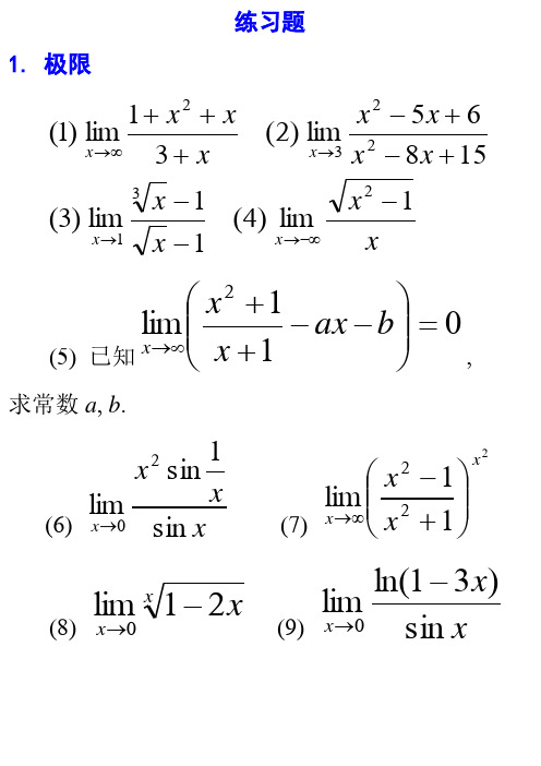
极限 (5)已知, 求常数a,b. (6)(7) (8)(9) (10) 2.
图片尺寸496x702
几道大学数学求极限的题
图片尺寸1512x1512