高斯消元法

1高斯消元法
图片尺寸1188x918
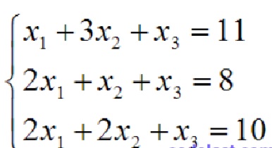
用高斯消元法求解线性代数方程组
图片尺寸920x1302
用高斯列主元消元法解线性方程组
图片尺寸920x1300
高斯消元法的算法介绍
图片尺寸895x536
矩阵分析线性系统2高斯消元法高斯若尔当消元法
图片尺寸407x219
高斯-约旦消元法
图片尺寸644x483
《高斯消元法》课件1.ppt
图片尺寸800x600
列主元高斯消元法的c语言编程
图片尺寸920x1302
gauss消去法解线性方程组 高斯列主元消去法 高斯消去法 消元法
图片尺寸600x600
luogu3389模板高斯消元法用高斯消元求解线性方程组
图片尺寸1350x764
2高斯消元法与矩阵的初等变化ppt
图片尺寸1080x810
高斯列主元素消去法解多元一次方程组
图片尺寸965x523
ch3.1高斯消元法2
图片尺寸1080x810
用高斯消元法怎么解 求大神
图片尺寸3264x1840
高斯选主元消去法
图片尺寸1080x810
高斯消元法
图片尺寸317x189
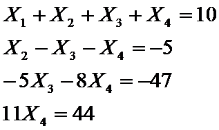
高斯—约当消元法解四元线性方程组
图片尺寸1430x1967
高斯-约旦消元法
图片尺寸386x210
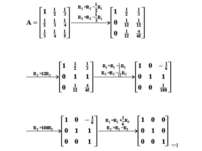
高斯消元法对矩阵lu分解的影响
图片尺寸674x519
高斯约旦消元法及其程序实现
图片尺寸681x562