高斯面

nbsp; figure : 2d高斯核的例子
图片尺寸600x450
的电介质,电位移,介质中的高斯定理ppt (2)球外:作半径为r2的高斯面s2
图片尺寸1080x810
高中数学论文立体几何
图片尺寸431x418
高斯面也称高斯曲面,是一个三维封闭曲面,用于运用高斯定理计算狭量
图片尺寸504x517
matlab笔记二matlab实现高斯函数的三维显示
图片尺寸804x594
示例代码matlab绘制高斯分布曲面图1
图片尺寸638x472
高斯面
图片尺寸599x448
的电场强度为零,外部的电场强度强度计算如下图,可以取圆柱状的高斯面
图片尺寸600x452
高斯定理应用
图片尺寸920x690
tikz绘制带电电容器板上的高斯表面示意图
图片尺寸758x470
高斯三维曲面图
图片尺寸510x376
熔池深度小,可近似认为热量从表面传入,面热源1,gauss模型(高斯热源)
图片尺寸944x650
高斯近似
图片尺寸720x460
高斯面
图片尺寸435x400
图像处理三高斯滤波
图片尺寸650x606
囧. 在导线处建立一个柱体的高斯面.由电场的高斯定理可得
图片尺寸448x360
大地磁暴预警发布太阳如何影响地磁活动
图片尺寸750x393
高斯定理ppt
图片尺寸1080x810![29,用surf绘制高斯分布函数的曲面图.>> [x,y]=meshgrid(-3:0.](https://i.ecywang.com/upload/1/img0.baidu.com/it/u=3562358358,1447693056&fm=253&fmt=auto&app=138&f=JPEG?w=560&h=421)
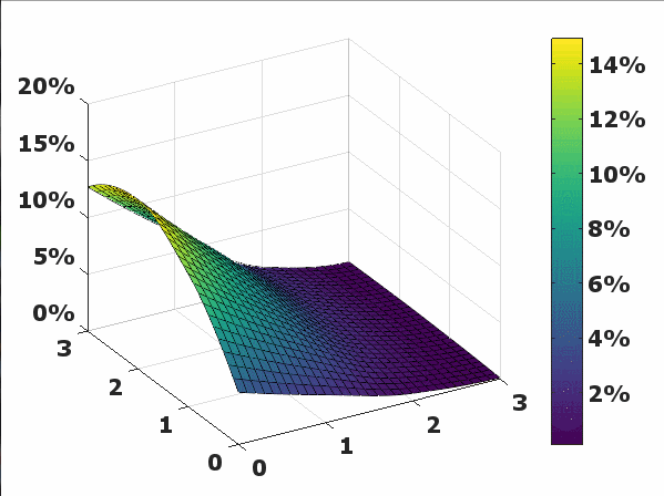
29,用surf绘制高斯分布函数的曲面图.>> [x,y]=meshgrid(-3:0.
图片尺寸591x444
高斯公式计算第二类曲面积分其中dz2x2y2需要补面计算
图片尺寸3252x2424