高等数学图片

高等数学(上)黄立宏 2-2 求导法则
图片尺寸4247x2656
高等数学(第7版上)
图片尺寸1280x1760
高等数学 第7版 上册 同济大学
图片尺寸1000x1377
高等数学图片_百度百科
图片尺寸879x879
高数|求极限50题,考前极限题速成73.#高数 #高等数学 # - 抖音
图片尺寸1080x1440
高等数学求导公式
图片尺寸920x1302
全部图片
图片尺寸670x566
微积分线性代数概率论超详细的ml数学路线图
图片尺寸650x433
"高等数学"课程思政示范课程
图片尺寸4217x2372
学过经济学的人都知道初等经济学(《经济学原理》)里面用到的数学知识
图片尺寸1080x540
全新高等数学 上册王娜,罗敏娜,杨淑辉主编9787111728993
图片尺寸800x800
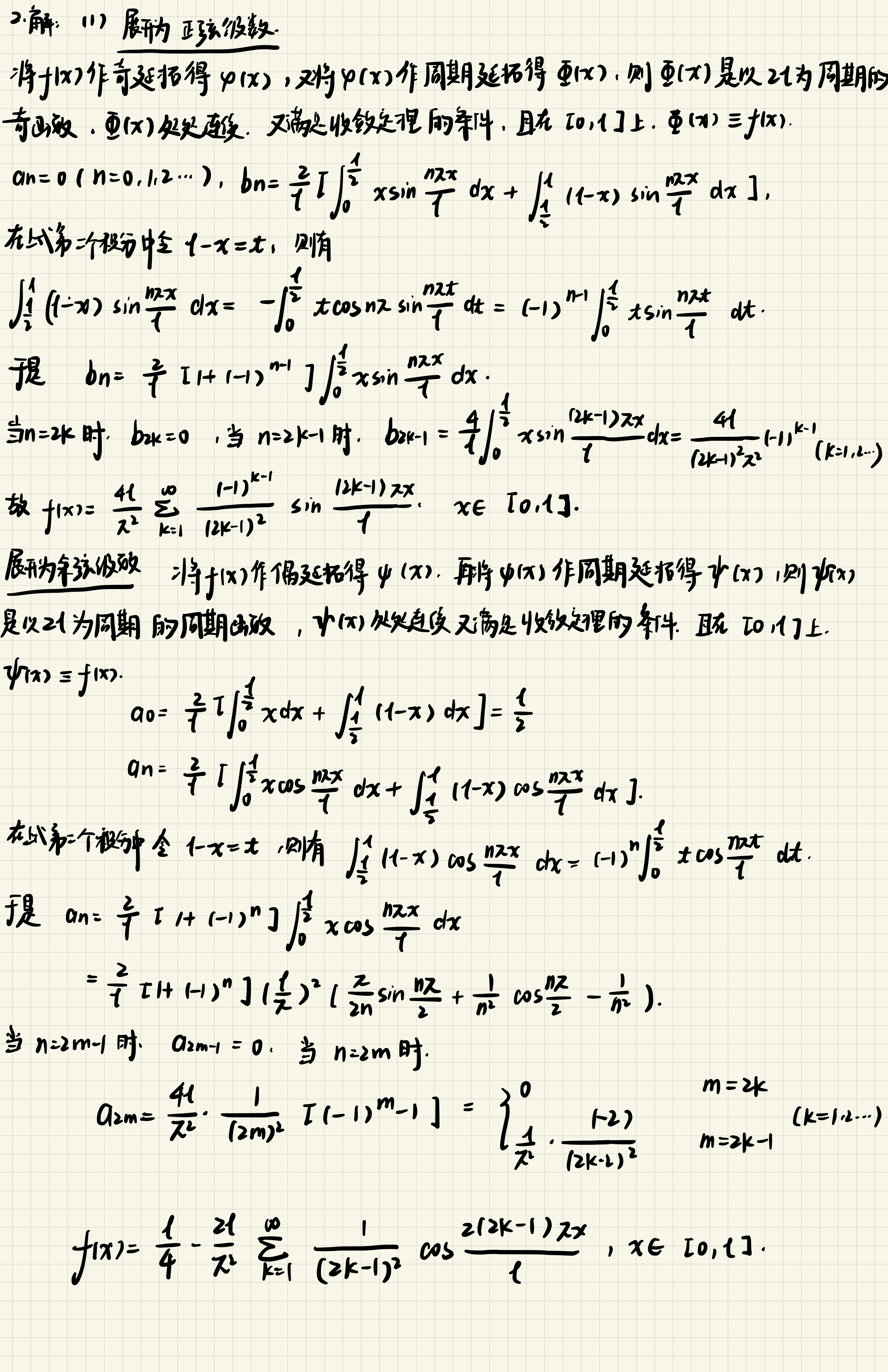
【课后习题】高等数学第七版下第十二章 无穷级数 第八节 一般周期
图片尺寸2904x4488
高等数学二三事
图片尺寸474x197
考研数学高等数学函数
图片尺寸650x566
安徽理工大学高数下期末试卷解析 | 考神驾到
图片尺寸1080x1720
高等数学习题学习指导高数大一出版社高等教育7版指南练习题大学教材
图片尺寸750x1000
高等数学(第38-42课)强化ppt
图片尺寸1080x810
微积分无缝数学背景照片
图片尺寸355x300
微积分-函数与极限(数学模型:基本函数一览)
图片尺寸628x420
黑板上复杂的数学计算照片
图片尺寸449x300