高等数学笔记

考研高等数学第二讲手写笔记一元函数微分学
图片尺寸1629x2228
高等数学手写笔记02数列与数列极限
图片尺寸1668x2157
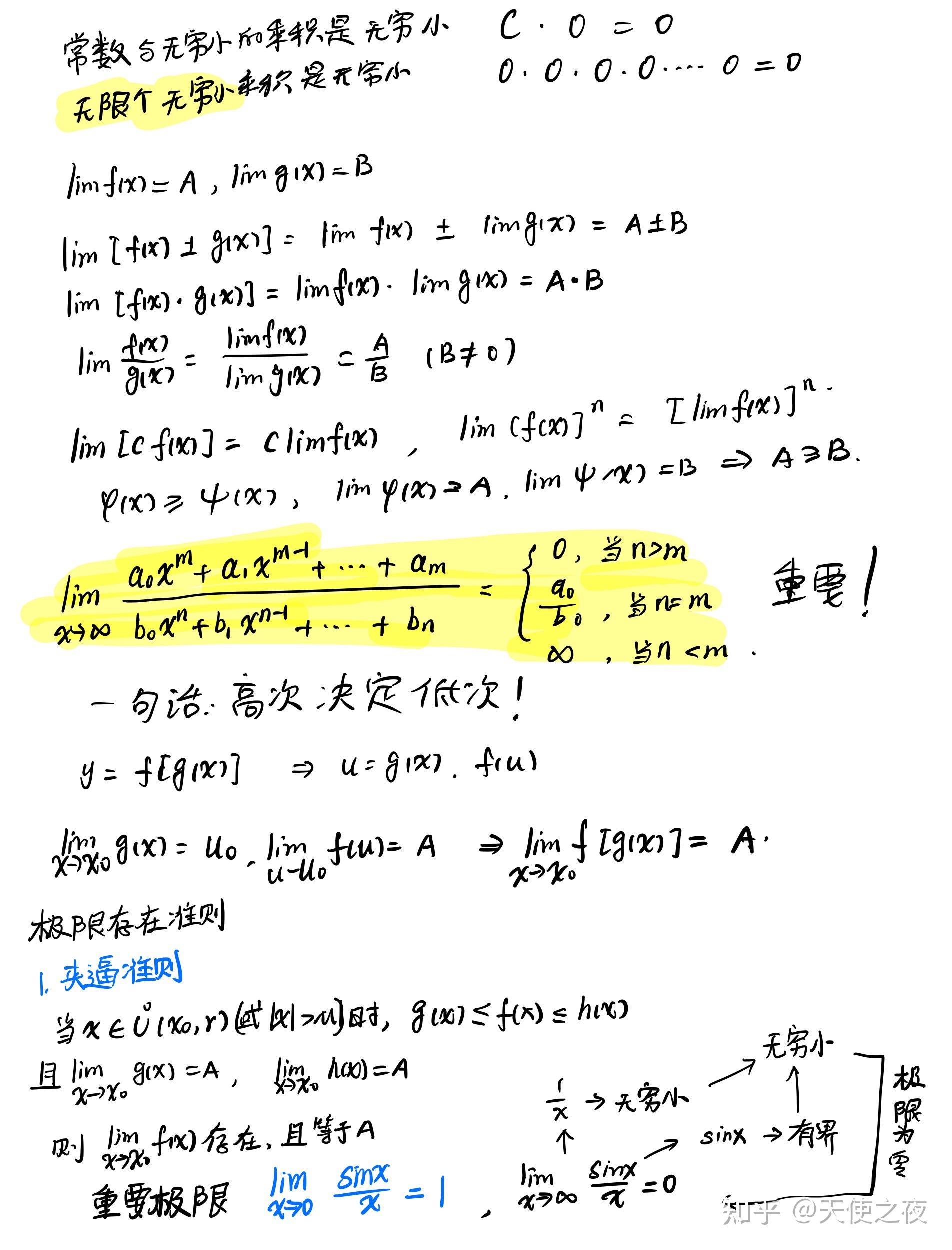
高等数学笔记 - 知乎
图片尺寸1536x2048
高等数学笔记(第八章 向量代数与空间解析几何) - 知乎
图片尺寸1536x2048
大学数学高等数学多元函数微分#大一数学必刷题 #大学数学笔记 - 抖音
图片尺寸1202x1706
考研高等数学第三讲手写笔记一元函数积分学
图片尺寸1080x1639
高数笔记不定积分
图片尺寸1080x1439
专升本高等数学笔记分享 - 知乎
图片尺寸2736x3648
宋浩高等数学笔记(二)导数与微分
图片尺寸1080x1440
上下册 kira高数手写笔记高等数学同济第七版同步辅导及习题详解练习
图片尺寸800x800
考研高等数学第二讲手写笔记一元函数微分学
图片尺寸1728x1648
考研高等数学第二讲手写笔记一元函数微分学
图片尺寸1629x2187
高等数学第一章函数与极限笔记
图片尺寸2448x3264
考研高等数学第二讲手写笔记一元函数微分学
图片尺寸1080x1440
笔记高数二第七章微分方程第四节
图片尺寸1080x1439
考研高等数学第三讲手写笔记一元函数积分学
图片尺寸1080x1510
高等数学第一章函数与极限手写笔记
图片尺寸1904x2500
高等数学第一章函数与极限手写笔记
图片尺寸1904x2500
高等数学第一章函数与极限手写笔记
图片尺寸1904x2500
【学习笔记】高等数学——幂级数性质的笔记,级数敛散性的习题 - 学道
图片尺寸640x854