高考数学大题

高考文科数学数列经典大题训练附答案
图片尺寸920x1302
2021数学高考1卷(2021年全国一卷新高考数学试题真题及答案逐题解析版
图片尺寸2381x3367
20062013广东高考文科数学立体几何大题共8页
图片尺寸920x1302
高考数学压轴题(三).pdf 7页
图片尺寸800x1131
高考数学真题2021年全国 - 抖音
图片尺寸1440x2036
江苏高考数学压轴题.pdf
图片尺寸804x1137
2024高职高考数学集合压轴大题! 同学们! 数学集合大题 - 抖音
图片尺寸1444x1920
数学高考圆锥曲线压轴题
图片尺寸920x1300
高考文科数学一轮复习大题篇—圆锥曲线综合问题.pdf 31页
图片尺寸1606x2271
高考数学压轴题集锦
图片尺寸920x1302
高考数学真题分类汇编文科三角函数解答题
图片尺寸1860x2631
高考数学《集合》专项练习(选择题含答案)(3),推荐文档
图片尺寸956x1351
江苏高考数学填空题压轴题精选.doc 16页
图片尺寸792x1120
2019-2020年高考数学大题专题练习——立体几何(一).doc
图片尺寸993x1404
高考数学填空题专项训练(含详细答案).doc
图片尺寸1594x2255
数学高考圆锥曲线压轴题doc
图片尺寸860x1214
高考用数学-三角函数大题综合训练(修订版.).doc 31页
图片尺寸993x1404
2021年北京市高考数学试题原题doc
图片尺寸920x1302
数学新高考一卷12题多选题
图片尺寸1064x1650
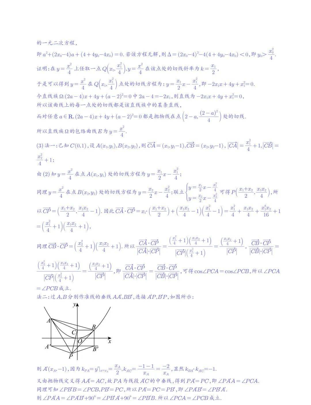
【高中数学】2024年高考数学大题突破—圆锥曲线
图片尺寸1080x1406