高锰酸根离子

高锰酸根和锰酸根的离子式怎么写,有什么区别
图片尺寸612x816
高锰酸根离子
图片尺寸290x226
高锰酸根离子
图片尺寸220x159
data-lemmaid="5739133">高锰酸根 /a>结合而成的酸,属于离子,化学式
图片尺寸566x544
href="#" data-lemmaid="5739133">高锰酸根 /a>离子(mno4-)的 a href
图片尺寸693x500
由于mno sub>4 /sub> sup class="normal">2- /sup>(锰酸根)仅能存在
图片尺寸1048x699
高锰酸根,分别在酸性和碱性条件下与碘离子的反应#每天学习一点 - 抖
图片尺寸1080x671
【初中化学】估算出高锰酸根离子的大小--- -- 2010-3-25
图片尺寸500x388
高锰酸根离子的化学性质是什么
图片尺寸800x320
高三化学离子反应方程式专项训练
图片尺寸1080x1440
高考化学陌生方程式高锰酸根离子和锰离子微专题094
图片尺寸1920x1080
问题是,高锰酸根离子在中性条件下还原成正2价mn离子 的电位是多少 用
图片尺寸480x480
两个实验估算高锰酸根离子测定硫酸铜晶体中结晶水的含量
图片尺寸920x690
高锰酸根离子,_______,_______,________;若题目要求是无色溶液,则不
图片尺寸450x405
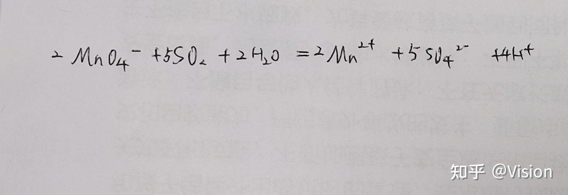
高锰酸根和二氧化硫的离子方程式怎么配出来的? - 知乎
图片尺寸1816x626
高锰酸根
图片尺寸161x248
氢氧根: 硫酸根: 硝酸根: 铵根: 碳酸根: 高锰酸根: 锰酸根: 磷酸根
图片尺寸450x338
氢氧根 -1 硝酸根 -1 高锰酸根 -1 氯酸根 -1 oh硫酸根 -2 no3 - mno
图片尺寸1080x810
求解高锰酸根和锰酸根和氯酸根的化合价
图片尺寸612x815
高锰酸根离子氢离子和氯离子反应的化学方程式
图片尺寸600x450