黄酮结构式

黄酮
图片尺寸300x300
图2. 黄酮类基本结构
图片尺寸578x369
新型类黄酮衍生物的设计,合成及抗肿瘤活性研究
图片尺寸268x254
图12.2 类黄酮的结构
图片尺寸1280x1083
黄酮,分析对照品,hplc≥98%
图片尺寸600x600
黄酮类化合物的常见分类及其结构
图片尺寸713x361
黄体黄体酮结构式照片
图片尺寸435x300
化学结构式为天然孕激素.常用剂型有注射液,片剂等.
图片尺寸936x484
大家需要记得黄酮结构与分类的基本母核,黄酮类化合物的显色反应,黄酮
图片尺寸473x719
结构类型:黄酮类 主要来源:唇形科植物荔枝草salvia plebeia r.br.
图片尺寸1118x732
5黄酮-2
图片尺寸1080x810
黄酮类常见的主要结构类型有哪些?结构母核如何?
图片尺寸521x281
5,7-二甲氧基-3,3,4-三羟基黄酮
图片尺寸650x443
类黄酮的基本结构
图片尺寸628x286
5-羟基黄酮
图片尺寸220x220
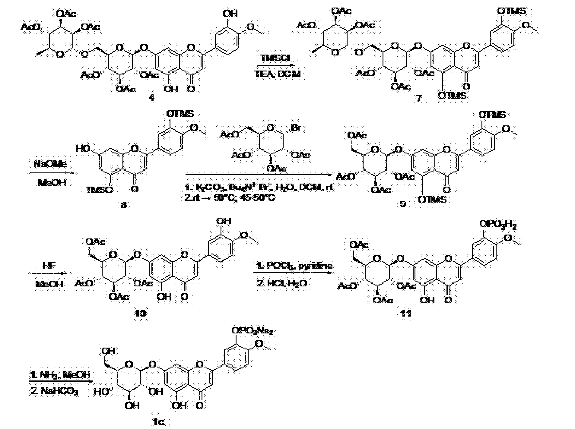
黄酮类化合物的结构及其合成方法
图片尺寸1906x1423
best-reagent.com|黄体酮的化学品结构图
图片尺寸200x200
黄体酮注射液
图片尺寸247x165
黄酮类化合物抗氧化特性的研究进展【综述】
图片尺寸516x358
中药化学丨黄酮鉴别与结构鉴定
图片尺寸224x223