黑户征信报告单图

(网友刘小姐查出自己上了央行征信系统"黑名单"网友供图.
图片尺寸400x539
小周提供的个人征信报告显示,该笔单款产生于2012年6月11日,还款期限
图片尺寸458x572
安阳市民未贷款却上征信网黑名单 查原始合同遭拒
图片尺寸400x539
小周提供的个人征信报告显示,该笔单款产生于2012年6月11日,还款期限
图片尺寸491x629
田海军于2016年1月份打印的个人信用报告中显示他有19000元的贷款
图片尺寸572x809
"带着诸多疑问,父子俩打印了各自的个人信用报告.
图片尺寸550x734
田海军于2016年5月19日打印出来的个人信用报告显示,其名下贷款于2016
图片尺寸503x795
24岁女孩至今黑户找父亲做亲子鉴定上户被要价6万6
图片尺寸1080x1440
5岁时被贷款还上征信黑名单银行一句误会就完了
图片尺寸550x1037
骗取住房公积金及贷款逾期 榆林23人失信上"黑名单"
图片尺寸750x563
拿到亲子鉴定后 养育8年的女儿成了"黑户"
图片尺寸550x733
三亚这296人因酒驾醉驾将被列入诚信黑名单
图片尺寸799x1071
这些证明通通不用开了武汉市全面推行告知承诺制
图片尺寸566x800
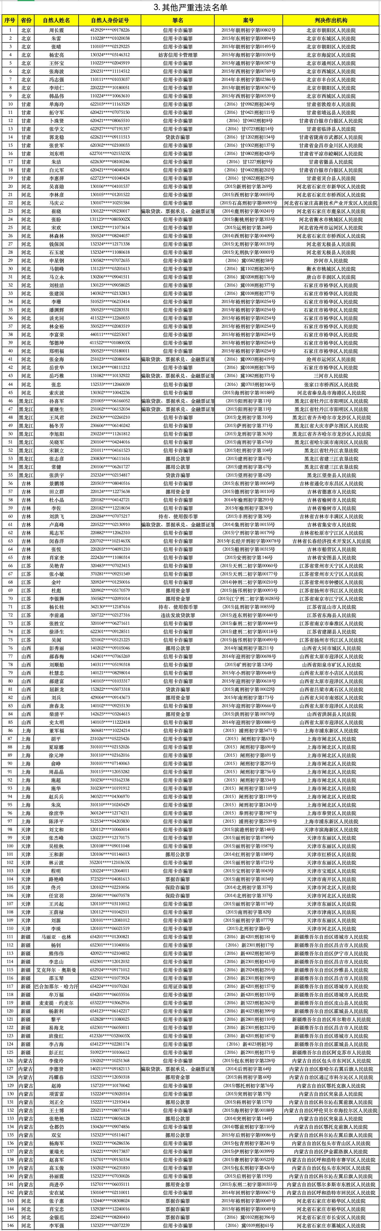
涉金融领域黑名单
图片尺寸1280x4128
身份证被冒用安徽保安成黑户图
图片尺寸399x299
个人征信系统_信息_报告
图片尺寸388x827
涉金融领域黑名单
图片尺寸1280x1369
征信体系除惩治失信行为外,也应给予失信人改过自新的机会.
图片尺寸800x565
拖欠农民工工资!云南省公布一批"黑名单"
图片尺寸700x356
农行两个员工诈骗百余名客户超900万部分受害人还被上了征信黑名单
图片尺寸685x847