黑色素结构

黑色素-1(cas:29512-49-0) 结构式图片
图片尺寸484x300
黑色素
图片尺寸662x444
黑色素结构式图片
图片尺寸605x375
黑色素分子结构化学式
图片尺寸1200x857
黑色素聚集激酶素(mch)(salmon)
图片尺寸521x344
黑色素胞, a target="_blank" href="/item/黑素细胞/3078495" data
图片尺寸1280x1188
护肤关注度no1的——黑色素细胞
图片尺寸905x500
黑色素-2结构式图片|89331-94-2结构式图片
图片尺寸605x375
黑色素-1, 29512-49-0, 结构式
图片尺寸456x252
所有分类 工程科技 材料科学 橡胶补强体系ppt 3,炭黑的二次结构 炭黑
图片尺寸1080x810
图3 美白思路:黑色素生成前干扰黑素体或酶功能;黑色素生成中抑制其
图片尺寸640x423
因此,黑色素本质上是我们皮肤的一种"保护伞".
图片尺寸640x489
褪黑素三维结构照片
图片尺寸556x300
2.黑色素为什么会让你变黑?一看,发现自己原来还是挺白的.
图片尺寸609x493
黑色素_紫外线_皮肤
图片尺寸835x723
黑色素聚集激酶素(mch)( salmon)结构式
图片尺寸554x368
luzindole (n-0774)是一种褪黑激素受体拮抗剂,它优先靶向 mt1b 而不
图片尺寸640x476
炭黑微观结构炭黑形态学石墨化炭黑结构
图片尺寸685x456
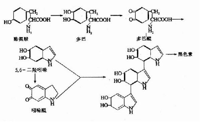
"黑色素是怎么形成的?白白朋友要怎么提高?
图片尺寸640x350
黑色素分子分子模型
图片尺寸1200x857