龙格库塔法三阶

第三部分龙格-库塔方法
图片尺寸1080x810
龙格-库塔法
图片尺寸640x476
计算方法实验三四阶龙格库塔方法
图片尺寸545x753
三阶魔方入门玩法(公式).doc 4页
图片尺寸792x560
三阶魔方第三层复原
图片尺寸590x1062
七步玩转三阶魔方还原公式及非公式步骤图解【新手适用超详细】
图片尺寸690x459
龙格库塔
图片尺寸842x633
常微分方程的解法三龙格库塔rungekutta方法线性多步法
图片尺寸700x536
龙格库塔
图片尺寸1074x696
函授 数值 课件 chap7:常微分方程数值解法2(龙格——库塔法)ppt
图片尺寸1080x810
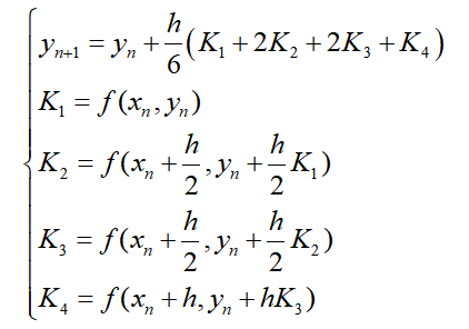
四阶龙格库塔公式:三阶龙格库塔公式:二阶龙格库塔公式:此即为龙格
图片尺寸422x296
龙格库塔法
图片尺寸1080x810
03三阶魔方第三层还原图解
图片尺寸733x1016
第三部分龙格-库塔方法
图片尺寸1080x810
构造了新型的显式三级三阶指数龙格-库塔方法,分析了其误差及稳定性
图片尺寸1474x2096
三阶魔方怎么还原第三层,要公式还有这个公式的作用(就是照着这个公式
图片尺寸450x355
龙格库塔算法ppt
图片尺寸1080x810
什么是龙格库塔?常微分方程的数值解法
图片尺寸1080x936
【纯公式版】三阶魔方教程v2.4(2020/01/21)_碧海风云_适配a4纸打印
图片尺寸1000x1477
龙格库塔法
图片尺寸1336x891