(x-5)的平方

若关于x的方程 (x-5)的平方=1-3a 有实数根,则a的取值范围是
图片尺寸612x816
解方程(x 5)的平方 (x 3)(x-3)=(x-7)(2x 1)
图片尺寸436x184
x-y)的平方*(y-x)的五次方=多少
图片尺寸640x480
代数式x的平方 8x-5的最小值
图片尺寸359x480
x的平方 2x等于5
图片尺寸960x1280
x的平方-y的平方=3,x y=5,求x-y的值
图片尺寸936x1664
x平方x根号下5-x的导数
图片尺寸780x1040
(x 5)的平方=25 x的平方 2x 1=4 完整的解.
图片尺寸600x698
方程:(√5-1)x=12
图片尺寸864x1152
x y=5,xy=4,那么x的平方 y的平方= ,(x-y)的平方= .
图片尺寸450x600
若x的平方加y的平方等于5,x y=3,则xy= 要过程
图片尺寸579x599
y=根号下(x平方 4x 10) 5 怎么配方?
图片尺寸450x600
已知x y=5,xy=1,求①x的平方 y的平方.②(x-y)的平方.
图片尺寸593x800
x的平方-4x 4=5怎么解,求详细过程
图片尺寸460x816
已知函数f(3x 1)=9x平方-6x 5,求解析式f(x)最好有图,加50分
图片尺寸780x1052
若x 5,则化简根号(x-5)3次方开立方 根号(6-x)平方开平方=
图片尺寸972x1296
一加x平方分之x4次方的不定积分0
图片尺寸620x836![x平方-3[2x-5(x平方-x 1)]](https://i.ecywang.com/upload/1/img1.baidu.com/it/u=1874107785,3977482268&fm=253&fmt=auto&app=138&f=JPEG?w=360&h=480)
x平方-3[2x-5(x平方-x 1)]
图片尺寸360x480
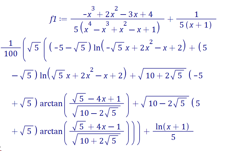
1x51的不定积分怎么求
图片尺寸790x488
(x 3)×(x 5)=95(平方厘米)求x
图片尺寸691x921