0的阶乘

4末尾有0的三位数乘两位数.docx 2页
图片尺寸993x1404
阶乘函数
图片尺寸640x480
为什么规定0的阶乘为1
图片尺寸2388x1160
为什么规定0的阶乘为1
图片尺寸499x727
python求前n项的阶乘之和
图片尺寸589x461
输出阶乘和当前时间
图片尺寸728x445
新北师大版三年级上册《0×5=?》教学课件ppt
图片尺寸1080x810
阶乘怎么算,忘了,数学题
图片尺寸2160x3840
2017-2018最新小学三年级上册数学《多位数乘一位数》0的乘法教学说课
图片尺寸1080x810
阶乘公式怎么理解?怎么推导出来的,详细过程,谢谢
图片尺寸590x191
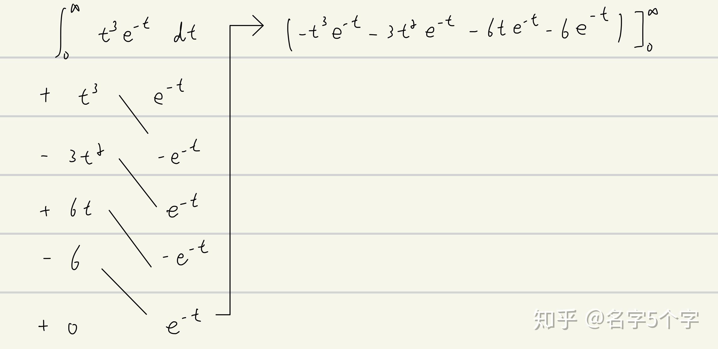
2607_1358
图片尺寸2607x1358
为什么是0的阶乘是1为啥0的阶乘是1
图片尺寸948x446
奇数阶乘公式推导过程_360问答
图片尺寸559x656
苏教版小学数学三年级上册ppt教学课件 第1单元 乘数末尾有0的乘法
图片尺寸1080x810
0至1的阶乘最小的是0.几的阶乘
图片尺寸500x400
我们可以知道,n的阶乘的尾部为0的个数主要取决于其中5的个数,例如看
图片尺寸955x428
末尾有0的乘法竖式计算_卫星运行时间
图片尺寸1080x810
苏教版三年级上册数学《乘数中间有0的乘法》课件ppt
图片尺寸1080x810
2017-2018最新小学四年级上册数学因数中间,末尾有0的乘法教学说课
图片尺寸1080x810
因数中间或末尾数有0的乘法
图片尺寸920x1302