2017年全国二卷数学

完整2017年高考理科数学全国2卷含答案推荐文档
图片尺寸920x1301
2017年全国2卷高考文科数学试题及答案解析
图片尺寸920x1303
2017年全国二卷理科数学高考真题及详解全word版
图片尺寸800x1132
2017高考文科数学全国2卷试题及答案解析
图片尺寸800x1132
2017高考全国卷2数学文试题及答案新东方图片版
图片尺寸900x1600
区据了解全国乙卷的总分为750分,其中语文数学外语这三科满分为150
图片尺寸1275x1821
高考数学 #高考加油 #高考录取 #数学 #数学思维 #新高考全国
图片尺寸1080x1440
2017内蒙古理科数学高考(全国卷二)真题试卷题目与答案解析图
图片尺寸500x671
2022年全国高考数学2卷试题
图片尺寸1059x1343
全国乙卷数学答案
图片尺寸1080x1439
2017江西高考数学理科卷全国Ⅰ卷2
图片尺寸531x834
2019全国卷二高考理科数学试题及参考答案
图片尺寸572x811
2018年高考全国卷Ⅱ理科数学试卷2
图片尺寸569x913
2021年新高考全国二卷数学真题上
图片尺寸1080x1341
新高考全国二卷数学2023年试卷及答案解析图片版
图片尺寸1080x1527
全国乙卷2023年高考真题数学试题及答案
图片尺寸479x660
2022年高考全国新高考2卷数学试题解析及答案_整理_真题_省市
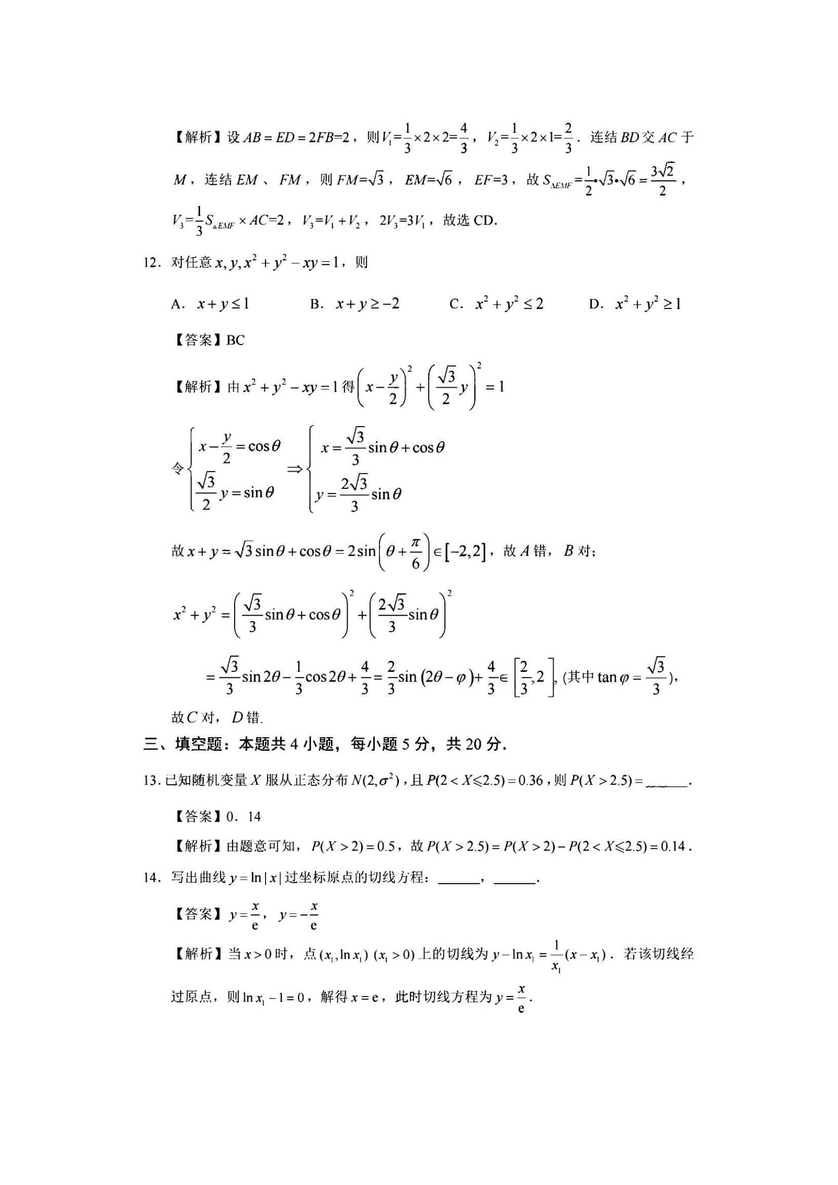
图片尺寸1654x2339
2022年全国高考甲卷数学试卷及答案
图片尺寸494x747
2024年新高考全国二卷数学试卷及答案
图片尺寸836x718
2017年高考真题——理科数学(全国卷Ⅰ)高清扫描版含答案
图片尺寸3964x5728