357171a

东京奥运会不排除空场进行
图片尺寸950x620
357171com(哔哩哔哩)423期
图片尺寸1920x1080
357171com(哔哩哔哩)648期
图片尺寸1920x1080
澳门六合彩 超高赔率
图片尺寸688x438
3月03洞察:357171澳门开什么手机软件
图片尺寸848x464
小刘倾城推!新澳门2024历史开奖记录查询表
图片尺寸1280x720
汇通网版权所有
图片尺寸1110x751
357171八年老玩家(重庆)有限公司
图片尺寸720x479
澳门彩库网357171cm
图片尺寸450x300
澳门六开彩开奖现场直播 开奖结果查询澳门
图片尺寸480x800
3d065期福彩3d澳门彩报d
图片尺寸674x971
澳门彩库网,357171.
图片尺寸330x550
奥马彩库网357171
图片尺寸300x521
3571713.com;不是"虚惊一场" 陕西首例转基因玉米事件调查
图片尺寸1000x500
1·9分钟更新澳门葡京线上平台开户
图片尺寸640x360
357171金牛版
图片尺寸500x500
澳门彩库网357171
图片尺寸480x800
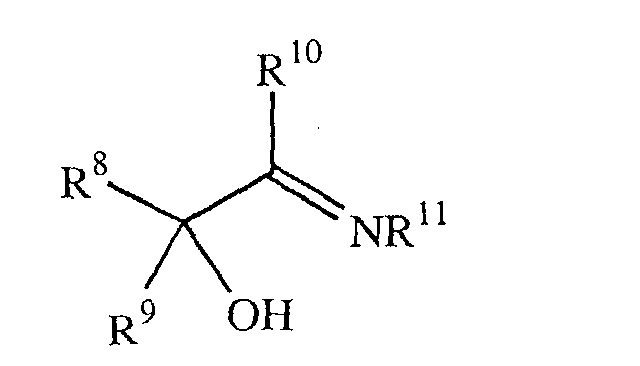
专利ep1357171a2 - carbonyl, thiocarbonyl or imine containing
图片尺寸640x366
八管晶体管收音机-电池盖-au8357171-收音机-拍卖-7788收藏
图片尺寸1555x874
357171,cc
图片尺寸534x921