43拍简谱儿歌

🎶儿歌简谱大集合🎼
图片尺寸1080x1413
数鸭子简谱洛之声制谱儿歌
图片尺寸2159x2159
《划船》儿歌简谱
图片尺寸1280x1098
43拍子歌曲简谱
图片尺寸540x960
中班儿歌曲《雪花和雨滴》钢琴简谱音频文件
图片尺寸1920x1719
小白兔白又白
图片尺寸3126x4421
📢学前教育必弹儿歌《蜗牛与黄鹂鸟》 分享一首好听的儿歌钢琴简谱
图片尺寸1920x2560
记忆 | 潘振声:新中国的儿歌大王 | 曹伟明
图片尺寸1080x1407
蜗牛与黄鹂鸟儿歌简谱歌词图片
图片尺寸1440x2560
儿歌曲谱大全简谱
图片尺寸1440x1990
春天郭桂英儿歌简谱
图片尺寸1072x1456
小猪是个宝宝儿歌简谱
图片尺寸951x594
儿歌曲谱大全简谱
图片尺寸1440x1594
儿歌曲谱大全简谱
图片尺寸1440x2126
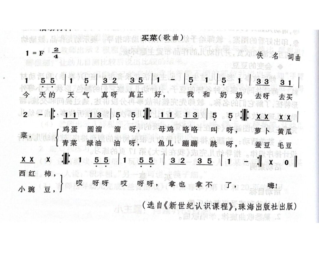
《买菜》儿歌简谱
图片尺寸1080x859
《刷牙歌》儿歌简谱
图片尺寸1280x669
一只小青蛙呱呱呱儿歌简谱
图片尺寸1491x813
幼儿园教招面试 学前教育 儿歌弹唱简谱
图片尺寸1280x1616
大头娃娃-儿歌-钢琴谱文件(五线谱,双手简谱,数字谱,midi,pdf)免费
图片尺寸2381x3368
一粒种子的歌谱
图片尺寸860x1218