6年级可以插吗

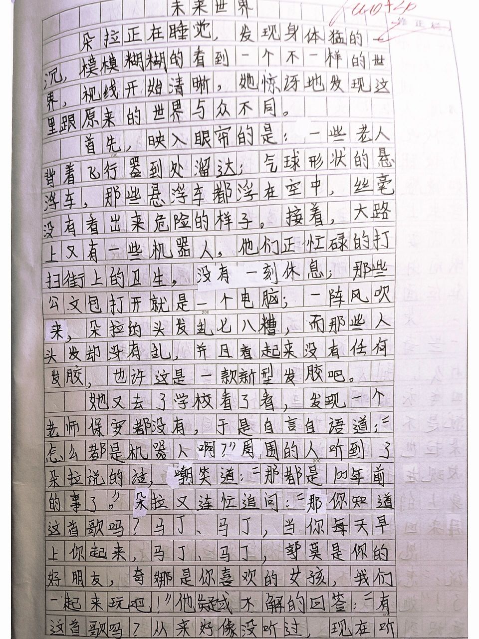
部编版六年级下册习作五插上科学的翅膀
图片尺寸1080x1439
六年级下册习作五插上科学的翅膀飞
图片尺寸1080x1439
六年级下册第五单元习作插上科学的翅膀飞
图片尺寸1080x1439
六下第五单元同步作文插上科学的翅膀飞
图片尺寸1080x1440
六年级下《插上科学的翅膀飞》第二弹.#六年级语文#小学语文# - 抖音
图片尺寸1440x2046
六年级习作插上科学的翅膀飞作文200字 - 抖音
图片尺寸1080x1528
六下|六年级下册第五单元习作《插上科学的翅膀飞》课文笔记与范 - 抖
图片尺寸1080x1440
六年级课内作文《插上科学的翅膀飞》 #优秀作文#小学作文 # - 抖音
图片尺寸1313x1832
插上科学的翅膀六年级小学生作文
图片尺寸920x1302
六年级下第5单元习作《插上科学的翅膀飞》 可借鉴,不可抄袭
图片尺寸960x1280
7115六年级下册同步作文,第五单元《插上科学的翅膀飞》优秀范文
图片尺寸1048x1398
年级下册第五单元同步作文"插上科学的翅膀飞"《未来的学校》优秀范文
图片尺寸1080x1536
六年级五单元同步作文,插上科学的翅膀飞
图片尺寸1270x1920
六年级下册语文:第五单元习作《插上科学的翅膀》优秀范文 - 抖音
图片尺寸1192x1684
部编版六年级语文下册第五单元《习作插上科学的翅膀飞》习作范文
图片尺寸920x1303
插上科学的翅膀飞作文1docx3页
图片尺寸792x1120
六年级习作插上科学的翅膀飞作文200字 - 抖音
图片尺寸1080x1528
插上科学的翅膀飞作文500字5篇
图片尺寸920x1302
汤姆·索亚历险记 (彩插版)快乐读书吧六年级下册推荐阅读
图片尺寸800x800
插上科学的翅膀飞六年级作文500字汇总5篇
图片尺寸920x1302