8号钢丝绳多粗

钢丝绳规格参数
图片尺寸732x558
钢丝绳的规格参数一般起重作业可采用gb/t8918-1996《钢丝绳》中6×19
图片尺寸600x625
钢丝绳规格参数表
图片尺寸674x418
钢丝绳的价格和图片钢丝绳批发
图片尺寸600x995
钢丝绳选用参照表
图片尺寸861x538
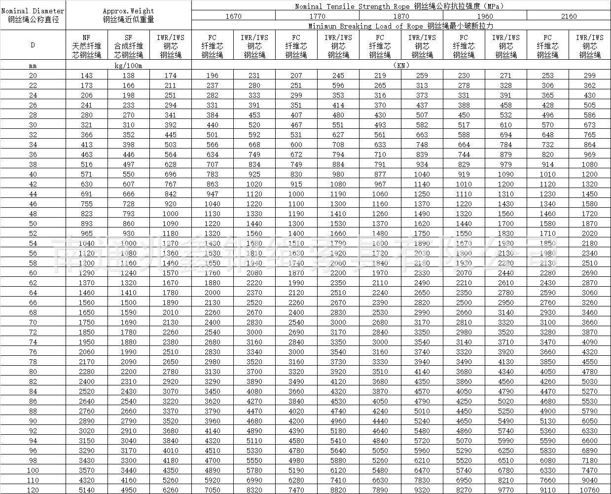
起重钢丝绳参数表
图片尺寸1149x812
钢丝绳的破断拉力一般起重作业可采用gb/t8918-1996《钢丝绳》中6
图片尺寸600x498
双盘自动篷布传动钢丝绳渣土车自动篷布钢丝绳8号加密传动钢丝绳
图片尺寸800x800
彩色pvc(pe) 涂层电动镀锌钢丝绳
图片尺寸650x594
钢丝绳直径与容许起吊重量对照表
图片尺寸642x526
钢丝绳规格表
图片尺寸724x1023
常用钢丝绳规格表
图片尺寸760x567
8股线接触钢丝绳 高品质光面/镀锌起重钢丝绳 厂家直销
图片尺寸1239x1001
6mm钢丝绳(1卷200米)
图片尺寸1500x2322
多股钢丝绳多股绳
图片尺寸650x1012
钢丝绳径的负荷重量表φ15mm φ32mm φ21mm φ39mm φ24mm φ48mm φ
图片尺寸976x494
pfalford提供10股外股变幅钢丝绳,而不是之前常规的8股外股钢丝绳
图片尺寸669x559
德马格葫芦钢丝绳,科尼电动葫芦钢丝绳,进口葫芦钢丝
图片尺寸709x737
复合钢丝绳索具
图片尺寸777x960
喆雅 直销钢丝绳 光面 镀锌 起重钢丝绳 无油 油性 6x19 6x37批发
图片尺寸750x417