8qam

4 constellation diagram of(1,3)-qam and 8qam
图片尺寸3118x1645
通信系统中8qam调制下误码率与信噪比关系
图片尺寸700x794
多模式qam统一星座图标签的构建方法及调制器
图片尺寸1766x1746
如何形象的理解什么是qam,8qam,16qam,和载波对应关系如何?
图片尺寸634x637
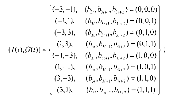
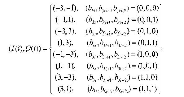
一种8qam调制方法及其系统
图片尺寸639x320
一种8qam调制方法及其系统
图片尺寸594x315
6 bep performance comparison of 8qam with three phase estimation
图片尺寸1795x1850
基于星座图的8qam最优结构选取
图片尺寸920x1302
讨论8qam及16qam的星座模型
图片尺寸561x256
下图中两个8点qam星座图相邻信号点最小距离为2.
图片尺寸784x457
8qam,16qam,32qam,64qam
图片尺寸1018x697
application research on two types of 8qam-ofdm optical access
图片尺寸942x599
下图是8qam的星座图和8psk信号的星座图
图片尺寸576x280
如图所示是两种8qam信号星座图,相邻信号点的最小距离为d.
图片尺寸450x600
星型qam的星座图
图片尺寸650x452
如何形象的理解什么是qam8qam16qam和载波对应关系如何
图片尺寸2976x3968
4qam(qpsk)示意图,这两个缩写的含义有略微不同,此处不展开在实际
图片尺寸723x796
消费类无人机图传系统设计中的一些关键
图片尺寸367x261
288x305
图片尺寸288x305
浅学---------- 计算机网络(二)(湖科大笔记)_qam16-csdn博客
图片尺寸1263x601