ABTSQ7

audisq7abt
图片尺寸1080x1350
赏车abtsq7
图片尺寸700x466
喜保宁
图片尺寸2436x1827
t7牵引车
图片尺寸1920x840
暴躁的胖子 奥迪abt sq7改装案例
图片尺寸700x394
性能车型,其中包括了abtrs 3,abtrs 4avant,abts5/rs5以及abtq5等等
图片尺寸800x577
当奥迪q7嵌上abt字样,我就知道街头又多了一头猛兽
图片尺寸920x416
托法替布是用于治疗重度活动性风湿性关节炎的药物
图片尺寸577x463
面杀伤武器blackacestactical霰弹枪美图
图片尺寸1080x1080
漆酶的协同作用使胶原膜对abts和dpph自由基的清除率均提升到60%以上
图片尺寸1019x448
被称为海上多面手,丹麦海军阿布萨隆级多功能支援舰
图片尺寸4600x2587
亚洲龙就要国产,哪些车将受到威胁?
图片尺寸1080x749
2006 abts sportsline q7 采用3.
图片尺寸480x360
评测托卡列夫美国公司tbp12半自动霰弹枪无托构型的家防武器
图片尺寸660x441
big 7
图片尺寸960x633
治疗尿路上皮癌,阿特珠单抗,纳武单抗,派拇单抗哪个效果好?
图片尺寸720x1146
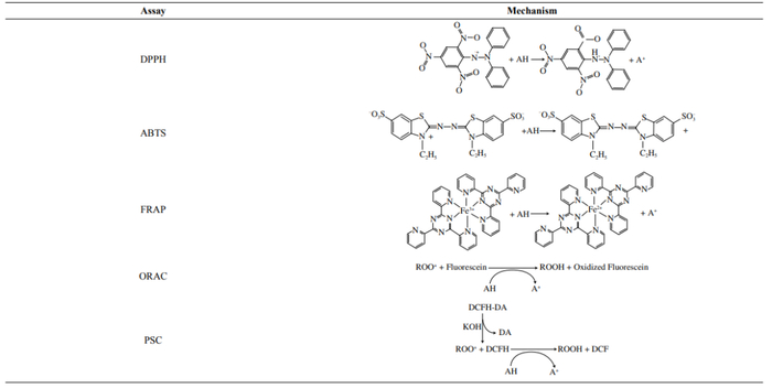
化学测定方法原理检测多酚抗氧化活性传统的化学方法包括dpph,abts
图片尺寸700x352
暴力大叔keltec公司ks7霰弹枪图集
图片尺寸1080x810
2017款abt sq7基本型
图片尺寸908x681
借助ligplot和pymol工具,观察i-1与abts阳离子自由基在二维与三维空间
图片尺寸700x495