Laplace分布

拉普拉斯分布
图片尺寸590x472
机器学习中的数学常用概率分布七拉普拉斯分布laplace分布
图片尺寸1507x654
python实现差分隐私laplace机制详解
图片尺寸510x401
laplace分布是统计学中的概念,是一种连续的概率分布.
图片尺寸828x638
laplace-error-curve
图片尺寸560x327
拉普拉斯(laplace)分布
图片尺寸640x480
机器学习最小二乘正则化和广义线性模型
图片尺寸2000x1417
拉普拉斯分布laplacedistribution
图片尺寸846x274
信号处理曲线拟合与分布拟合
图片尺寸325x244
差分隐私laplace实现
图片尺寸788x378
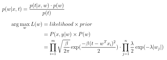
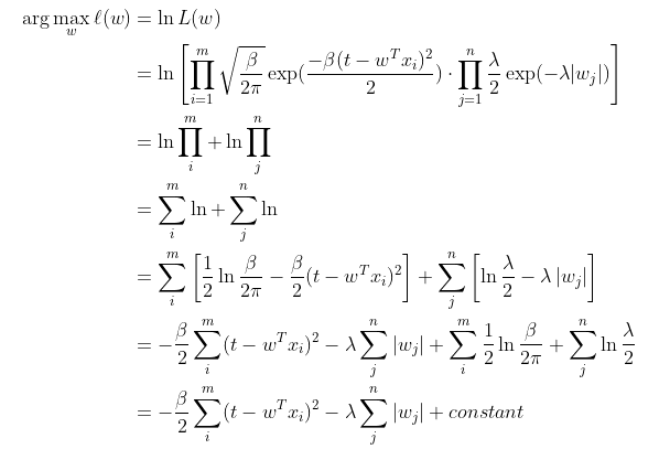
l1正则先验是laplace分布l2正则先验分布是高斯分布
图片尺寸598x407
常用laplace变换公式
图片尺寸606x879
拉普拉斯分布(laplace distribution)
图片尺寸763x209
l1正则先验是laplace分布l2正则先验分布是高斯分布
图片尺寸559x202
laplace拉氏变换公式表
图片尺寸920x1302
花式生成正态分布
图片尺寸325x260
laplace变换表
图片尺寸642x976![laplace_gaussian_filter = fspecial(log,[40 40],4.](https://i.ecywang.com/upload/1/img1.baidu.com/it/u=4145466007,3270063720&fm=253&fmt=auto&app=138&f=JPEG?w=650&h=245)
laplace_gaussian_filter = fspecial(log,[40 40],4.
图片尺寸650x245
image
图片尺寸509x384
l1正则项laplace分布l2正则项gauss分布的前因后果转载
图片尺寸623x367