a的x次方求导

a的x次方的导数是什么
图片尺寸600x400
f(x)=1/ax 求导f(x)= ?
图片尺寸450x388
ax次方如何求导网上的解说我看的自己好像没学过数学似的
图片尺寸1080x1440
a的x次方求导怎么运算
图片尺寸761x176
a的x次方的导数
图片尺寸600x400
高数问题,后面那个导数怎么等于a的x次方的,请写出推导过程
图片尺寸445x600
追问 那为什么a 的x次方不用求极限,而是提到前面去 追答 这里是h趋向
图片尺寸2976x3968
高等数学隐函数求导的方法
图片尺寸244x280
a的x次方的导数是多少
图片尺寸640x366
求y=x^a(a为常数)的导数
图片尺寸3264x2448
高中数学 2a-1的x次方求导?文科生过程详细点吧.
图片尺寸780x1040
y=x的a的x次方的次方 a的x的x次方的次方 x的x的a次方的次方,求y
图片尺寸450x236
a的x次方的导数是什么
图片尺寸600x400
a的x次方的导数是多少
图片尺寸640x440
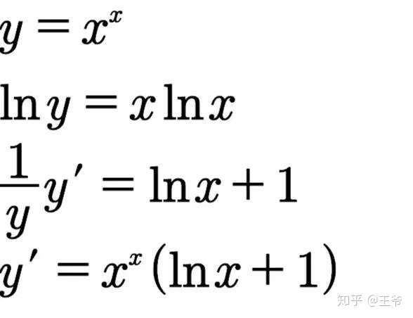
对x的x次方求导?
图片尺寸612x816
a的x次求导 这步怎么变到下一步的?
图片尺寸780x1040
求导公式及导数的运算法则
图片尺寸542x753
x的x次方为什么不能直接求导?
图片尺寸588x452
如何求导这个式子
图片尺寸613x370
高数求导
图片尺寸981x1279