annuity计算公式

年金计算公式 普通年金终值计算公式: 普通年金现值计算公式: 即付
图片尺寸496x702
资金的时间价值现值终值年金计算公式及计算时注意事项
图片尺寸730x794
中级财务管理考试必记公式大全
图片尺寸664x452
终值和现值及等额年金的计算公式
图片尺寸749x482
现值终值年金计算公式
图片尺寸729x386
普通年金现值与普通年金终值区别在于:1,概念不一样;2,二者计算方法
图片尺寸420x229
如何计算年金的货币时间价值?__财经头条
图片尺寸1097x570
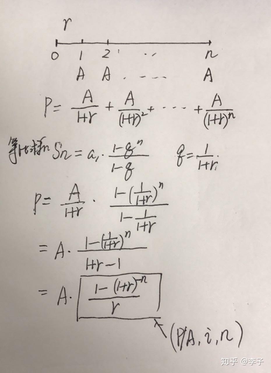
财务管理年金现值系数推导公式
图片尺寸930x1280
p/a与p/f的公式区别
图片尺寸640x379
从年金理论到杠杆效应,再到财务报表与投资评估指标
图片尺寸830x556
2020年中级会计职称财务管理高频考点72年金终值与现值基本计算公式
图片尺寸564x470
基本计算公式
图片尺寸567x185
计算公式
图片尺寸571x486
增长型永续年金现值计算公式推导
图片尺寸500x450
每年从基金中支付10000元用于品学兼百分之五,则应该
图片尺寸764x310
如何计算年金的货币时间价值?
图片尺寸640x344
4,年金现值 1,预付年金终值和现值的计算公式 预付年金
图片尺寸500x233
普通年金现值计算公式
图片尺寸484x222
现值计算公式(终值,现值与年金的计算)-29分享网
图片尺寸650x429
2014一建《工程经济》教材精讲:资金时间价值的计算及应用(二)
图片尺寸760x458