arcsin1等于多少

1080_810
图片尺寸1080x810
反三角函数其他公式 cos(arcsinx)=√(1-x^2)arcsin(-x)=-arcsinx
图片尺寸500x910
求反三角函数的值 arcsin1
图片尺寸405x514
x趋于无穷 xarcsin1/x的极限不是0呢? - 知乎
图片尺寸1536x2048
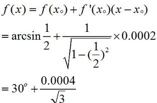
求极限问题 答案arcsin(1/2)的1/2是怎么算出来的.
图片尺寸691x921
arcsin负2分之1等于多少
图片尺寸1024x565
大一高数定积分计算题,求学长学姐帮忙
图片尺寸744x992
函数y=arcsin(1-x^2)^,是由﹎﹎﹎复合而成的
图片尺寸450x600
arcsin1等于多少
图片尺寸903x598
arcsinsinx等于什么?
图片尺寸600x354
arcsin定义域
图片尺寸640x341
y=arcsin(x-3)为什么等于-1 =x-3 =1
图片尺寸780x1052
怎么算arcsin1/2和(-1/2)
图片尺寸402x416
简单的微积分问题 一,求导 y=arcsin(1/x2) 二,求隐函数的导数 xy lny
图片尺寸2167x3292
求y=arcsin(2x^2-1)的微分
图片尺寸450x239
(以后遇到这样的都可以套用) 1,令1/根号x=t,则y=arcsint,t为1/根号x
图片尺寸780x1040
640_341
图片尺寸640x341
(arcsin x)^2的泰勒展开式是什么? - 知乎
图片尺寸1718x2839
展开全部 x:=arcsin(sqrt(3)/3); 因为 cos(arcsin(x)) = (1 - x^2 )
图片尺寸1143x605
arcsinx 表示一个角度,其中的x是一个数字,-1arcsin0为什么是等于0,而
图片尺寸314x207