bray curtis

基于微生物丰度的bray-curtis相似性(16s rrna基因序列数据)和
图片尺寸1080x540
基于bray-curtis距离的主坐标轴分析(pcoa)展不同根部差异.
图片尺寸3030x1591
根据dms, weighted unifrac和bray-curtis距离进行pcoa分析和anosim
图片尺寸2000x965
bray-curtis dissimilarity between host depleted and raw sample
图片尺寸814x1056
fticrms分析后得到的分子式集合如何计算braycurtis相异度
图片尺寸865x639
基于bray-curtis距离的主坐标轴分析(pcoa)展不同根部差异.
图片尺寸1483x1404
the great khali,rob van dam,dolph ziggler,big e,ryback,curtis
图片尺寸480x305
基于bray-curtis距离的主坐标轴分析(pcoa)展不同根部差异.
图片尺寸1946x1595
wwe #braywyatt #布雷·怀亚特 #wwe - 抖音
图片尺寸1600x1527
hubert lewis bray
图片尺寸1200x1800
场边的争执分散了和柯蒂斯-阿克塞尔(curtis axel)然而布雷-怀特(bray
图片尺寸1080x608
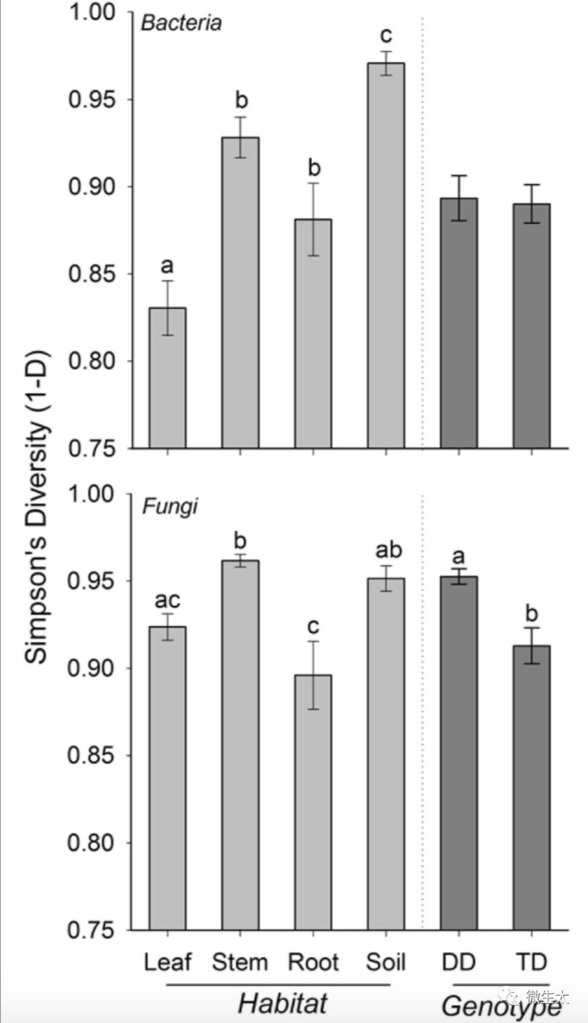
表1 基于anova结果与bray-curtis距离矩阵分析细菌和真菌的群落情况图
图片尺寸856x1488
爱尔兰brayhead徒步greystones攻略00
图片尺寸1080x1439
都柏林周边howth和bray海边徒步推荐
图片尺寸1080x810
braybeachbbqfestival打卡
图片尺寸1079x1141
(a)基于bray-curtis相似性的固氮生物群落的非度量多维尺度(nmds)分析
图片尺寸389x618
布雷怀亚特至今仍然缺席wwe,似乎已经不再重要_wyatt_bray_剧情
图片尺寸1080x608
预防i型糖尿病从婴儿时期肠道菌群出发
图片尺寸1842x1020
收下这份华晨宇的爱尔兰旅行歌单_bray
图片尺寸1080x694
the murine vaginal microbiota and its perturbation
图片尺寸1418x1474