cac2的电子式

cac2的电子式怎么写?
图片尺寸373x249
c3hc3h8 clc3h7cl hcl c2h4 ch4 的电子式为 3 o2n 3hno3 3 no2
图片尺寸624x263
碳化钙的电子式,,,怎么写.
图片尺寸450x253
用电子式表示离子化合物
图片尺寸334x334
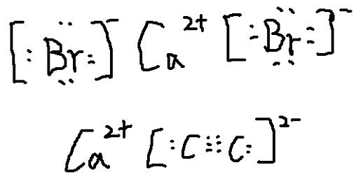
na2s2和cac2的电子式是什么?
图片尺寸255x187
书写电子式时,ab2型的离子化合物中2个b分开写还是一起写,怎么判?
图片尺寸508x276
请写下电石的电子式.
图片尺寸364x340
co,hgcl2,cac2,so2,so3的电子式怎么写?
图片尺寸440x297
无忧文档 所有分类 工程科技 电子/电路 2电气控制ppt 化学式 煅烧
图片尺寸1080x810![75-20-7 分子式: cac2 电子式:ca2 [:c三c:]2- 中间的三代表三对](https://i.ecywang.com/upload/1/img2.baidu.com/it/u=1124621011,4278022659&fm=253&fmt=auto&app=138&f=JPEG?w=300&h=337)
75-20-7 分子式: cac2 电子式:ca2 [:c三c:]2- 中间的三代表三对
图片尺寸300x337
09高考考点展望: 1)cac2,n2,ca(cn)2,cancn的电子式,结构式.
图片尺寸630x768
碳化钙与水反应制取乙炔的化学方程式cac2 2h2oa是乙炔,其电子式是
图片尺寸237x78![cac2ca^2 [:cc:]^2的电子式](https://i.ecywang.com/upload/1/img0.baidu.com/it/u=1567317777,2696953641&fm=253&fmt=auto&app=138&f=JPEG?w=854&h=500)
cac2ca^2 [:cc:]^2的电子式
图片尺寸1088x637
应选择制取乙炔气体的反应是(b)固体碳化钙(cac2)与水反应可生成乙炔
图片尺寸459x255
电石的主要成分是一种离子化合物cac2 电子式 与水反应方程式 反应
图片尺寸1080x810
能源/化工 乙炔的生产工艺(图纸全)ppt (1)电石法主反应式: cac2 2h2o
图片尺寸1080x810
一,乙炔分子的结构和组成 分子式电子式结构式结构简式空间构型键角
图片尺寸274x393
盐城市2009-2010学年度高三三模化学试题
图片尺寸636x131
2014届高考化学(江苏专用)二轮提优导学案:专题十一
图片尺寸1324x768
水解得到氧化能力更强的hco(2分)【解析】(1)ph2的电子式为h:hh(2)
图片尺寸465x339