cosine公式

cos余弦定理公式
图片尺寸600x240
cos2阿尔法的所有公式
图片尺寸800x1132
三角函数公式 1.正弦定理:===2r(r为三角形外接圆半径) 2.
图片尺寸496x702
用不定积分公式检验:正弦整数幂和余弦整数幂的定积分必相等吗?
图片尺寸640x400
三角形余弦定理公式大全
图片尺寸600x415
两个向量的cos如何计算,向量夹角的cos值的计算公式是什么
图片尺寸350x355
两角和与差的余弦公式
图片尺寸1280x720
关于正弦函数和余弦函数的计算公式(经典实用)
图片尺寸920x1302
5.2 两角和余弦公式
图片尺寸1834x1032
两角差余弦公式
图片尺寸1080x1439
ad是角平分线 四,自然数求和公式 二,一次函数 余弦:co - 抖音
图片尺寸828x1792
两角和与差的余弦正弦正切公式
图片尺寸1080x833
excel反余弦函数公式两角和与差的余弦函数公式
图片尺寸356x217
初中正弦余弦口诀(正弦余弦公式大全初中) 第12张
图片尺寸305x237
2两角和与差的正弦,余弦,正切公式第2课时课件_第4页
图片尺寸2000x1125
两角和差正弦公式与余弦公式
图片尺寸1200x1599
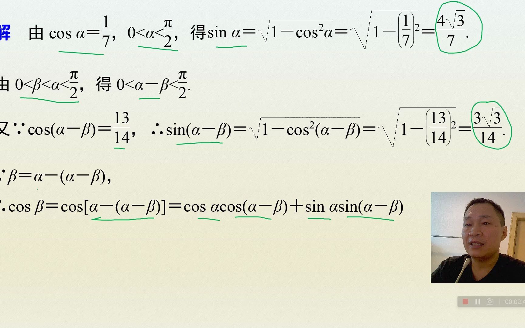
5.1两角差的余弦公式(下)例题讲解03
图片尺寸1728x1080
余弦函数正弦函数的无穷级数展开公式 - 知乎
图片尺寸1600x615
总结两角差的余弦公式常见题型
图片尺寸1280x811
14日高一数学 第三章 三角恒等变换 3.1.1 两角差的余弦公式 习题课
图片尺寸2160x1620