cpg岛甲基化

cpg岛甲基化表型是什么意思?
图片尺寸555x311
dna甲基化,cpg岛以及甲基化结果图怎么看 - 知乎
图片尺寸1080x337
院校资料 dna修饰及其检测技术ppt ╟ 成簇的cpg二联体被称为"cpg ""
图片尺寸1080x810
甲基化的甲基化检测技术
图片尺寸918x671
胶质瘤综述1胶质瘤cpg岛甲基化表型gcimp生物学和临床意义
图片尺寸2051x1391
cpg岛及其甲基化情况影响基因表达
图片尺寸650x329
图3.dna甲基化
图片尺寸922x438
dna甲基化,cpg岛以及甲基化结果图怎么看 - 知乎
图片尺寸1080x550
cpg与甲基化有什么关系
图片尺寸1044x772
胶质瘤综述1胶质瘤cpg岛甲基化表型gcimp生物学和临床意义
图片尺寸1263x1309
生物原理详解到底什么是cpg岛什么又是dna甲基化医学生信热点知识
图片尺寸1152x720
甲基化
图片尺寸280x300
dna甲基化是指在dna甲基化转移酶的作用下在基因组cpg二核苷酸的胞
图片尺寸342x163
干货间 | 来说说关于dna甲基化检测和cpg岛的小常识
图片尺寸913x760
甲基化图片_百度百科
图片尺寸225x225
fmrp nomal n 45 (cgg)n 前突变 premutation 50 n 200 cpg岛甲基化
图片尺寸1080x810
甲基化水平降低(癌基因)和cpg岛局部甲基化水平的异常升高(抑癌基因)
图片尺寸600x338
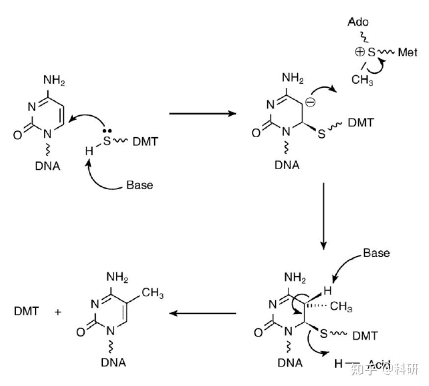
为什么cpg岛上dna甲基化不会发生在鸟嘌呤上而发生在了胞嘧啶上?
图片尺寸874x788
启动子区域中cpg岛的dna甲基化(5mc)与转录抑制状态有关,基于cell的
图片尺寸573x556
肿瘤甲基化用药基因检测
图片尺寸425x280