cross entropy

分类任务的损失函数:cross_entropy
图片尺寸848x462
cemcrossentropymethod算法理解
图片尺寸2066x1212
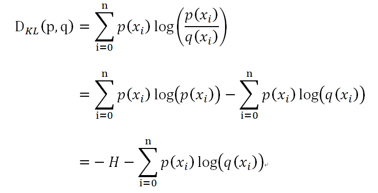
分类任务的损失函数:cross_entropy
图片尺寸711x283
交叉熵损失函数crossentropylosssoftmax分类器
图片尺寸915x531
海外直订the cross-entropy method: a unified approach to
图片尺寸800x800
交叉熵crossentropy损失函数求导过程推导
图片尺寸739x377
一文搞懂熵entropy交叉熵crossentropy
图片尺寸720x370
神经网络中的crossentropycostfunction
图片尺寸1440x810
cnn入门讲解为什么分类模型loss函数要用交叉熵crossentropy
图片尺寸1295x412
卷积神经网络对tfnnsoftmaxsoftmaxloss和crossentropy的理解
图片尺寸777x419
你是否有过疑问为啥损失函数很多用的都是交叉熵crossentropy
图片尺寸600x344
1.1 交叉熵损失(cross entropy loss)
图片尺寸445x272
optim as optim criterion = nn.crossentropyloss() optimize
图片尺寸538x201![[深度学习]交叉熵(cross entropy)算法实现及应用](https://i.ecywang.com/upload/1/img1.baidu.com/it/u=2011995529,1027742540&fm=253&fmt=auto&app=138&f=JPEG?w=461&h=223)
[深度学习]交叉熵(cross entropy)算法实现及应用
图片尺寸461x223
【预订】the cross-entropy method: a unified approach to
图片尺寸500x500
【预订】the cross-entropy method: a unified approach to
图片尺寸500x500
softmaxentropycrossentropy总结
图片尺寸1552x785
损失函数fcrossentropy中标签形式的探究
图片尺寸562x423
可视化理解binarycrossentropy
图片尺寸432x284
深度学习神经网络softmaxcrossentropy非tensorflow方式
图片尺寸507x287