deferential

deferential
图片尺寸629x400
付建利:deferential怎么背?
图片尺寸350x490
财富时代相继被收购谁在收割世界顶级媒体
图片尺寸550x305
letter of intent to sell property template collection
图片尺寸1275x1650
详细信息
图片尺寸1181x1654
蒙特利尔大学
图片尺寸2144x1340
色谱纯异辛烷
图片尺寸880x902
deferentialcanguroenglish我有了coronavirus这是我的故事
图片尺寸1920x1080
14 proof of income letter for pdf, word, doc
图片尺寸1502x1829
每日外刊阅读day71和老板一起办公
图片尺寸1080x1440
09.22 托福机经
图片尺寸794x1123
letter of intent to sell property template collection
图片尺寸1275x1650
词根12fercarry
图片尺寸1080x1422
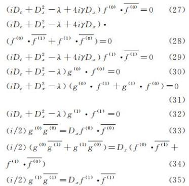
can i optimize 2 parameters of my ode system (with 3 deferential
图片尺寸264x280
punctiliousdeferentialflabbergastedsluggish
图片尺寸1800x1125
蒙彼利埃大学
图片尺寸1200x1200
日本fba物流税号,关税,清关解决办法
图片尺寸1600x1200
citotest 世泰 微生物样本采集拭子,含cary blair培养基. 红色盖子.
图片尺寸1000x1000
portfolio
图片尺寸1700x620
基于hirota方法探求非零边界条件下mnlsdnls方程的孤子解
图片尺寸373x367