denselypacked

小王子英文简介
图片尺寸920x1302
densely packed particle structure
图片尺寸1175x743
manhattan the most densely populated central park skyscrapers
图片尺寸1080x810
seamless background pattern of densely packed black and white
图片尺寸450x470
and what youre seeing here is a cloud of densely packed
图片尺寸640x360
按需印刷】the physics of the deformation of densely packed
图片尺寸855x1360
如何测骨料堆积密度
图片尺寸640x481
动物秘境
图片尺寸700x968
转发这个黑洞吸走你的所有烦恼
图片尺寸540x761
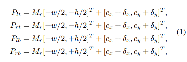
dynamicrefinementnetworkfororientedanddenselypackedobject
图片尺寸745x845
论文笔记precisedetectionindenselypackedscenes
图片尺寸302x319
this is the most densely-packed moment of the teaser.
图片尺寸1920x1080
dynamicrefinementnetworkfororientedanddenselypackedobject
图片尺寸650x217
【medical image segmentation】3d densely convolutional networks
图片尺寸1521x1017
全球20大智慧城市排行榜出炉,无锡列中国第一
图片尺寸543x331
refinement network for oriented and densely packed object
图片尺寸1080x612
densely connected convolutional networkscvpr 2017作者:gao huang
图片尺寸870x732
密集目标检测precisedetectionindenselypackedscenes
图片尺寸413x304
dynamicrefinementnetworkfororientedanddenselypackedobject
图片尺寸708x392
powlers piece is extremely densely wooded, rendering the whole
图片尺寸1600x1200