determination简谱数字

determinationundertalebgm简谱
图片尺寸1587x992
北宙企业管理咨询有限公司-nuc - passion, vision, determination
图片尺寸1411x1062
钢琴谱:【undertale】determination - 决心
图片尺寸1653x2339
determinationsymphony
图片尺寸1110x1570
determinationsymphony
图片尺寸1110x1570
determination of ions in fluids
图片尺寸1856x732
钢琴谱:determination symphony(bang dream! 第二季第9集插曲)
图片尺寸1015x1435
method for the immunological determination of an analyte
图片尺寸2320x3408
a new poissonian algorithm for the determination of fission
图片尺寸868x942
wedontcareanymore
图片尺寸720x1280
undertale如果狂妄之人变成金属会
图片尺寸1920x1080
you can feel its sincerity and determination from every word
图片尺寸640x475
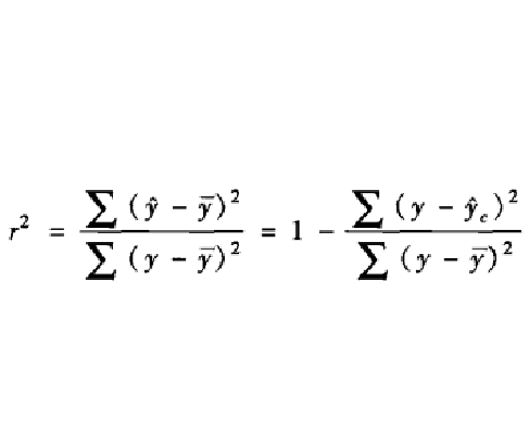
coefficient of determination
图片尺寸487x400
latex语法学习04参考文献的引用
图片尺寸510x262
【undertale】determination - 决心
图片尺寸489x489
小米遭pae在法国,印度起诉,诉讼背后暗藏许可费率玄机
图片尺寸1578x1080
测定》(plastics—glass-fibre-reinforced products—determination
图片尺寸644x940
天气报告 - 天气
图片尺寸512x340
bonetrousle
图片尺寸300x300
determination of an acceptor number for 9a was ha
图片尺寸847x1004