dijkstra有向图

dijkstra迪杰斯特拉算法
图片尺寸977x489
(迪杰斯特拉)dijkstra算法及其优化(c )_dijkstra算法c 代码优先
图片尺寸658x560
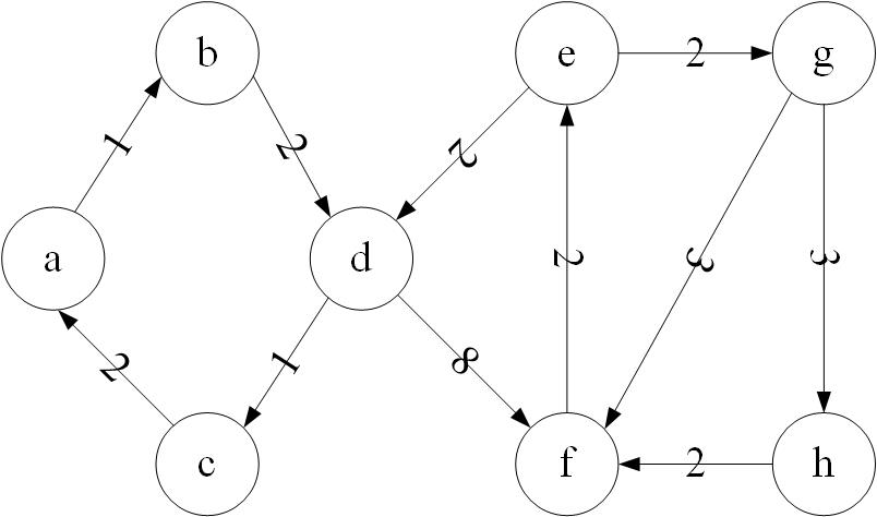
对如下有向带权图若采用迪杰斯特拉dijkstra算法求从源点口到其他各
图片尺寸449x380
dijkstra算法的java实现(邻接表存储有向带权图)
图片尺寸958x782
如题图所示的有向网利用dijkstra算法求顶点v0到其他各顶点之间的最短
图片尺寸339x226
dijkstra有向图最小距离算法matlab
图片尺寸1052x820
java实现dijkstra算法求单源最短路径
图片尺寸538x306
基于dijkstra算法的带权有向图最短路径问题求解python实现
图片尺寸398x225
dijkstra算法
图片尺寸750x460
贪心算法最短路径问题dijkstra算法
图片尺寸344x272
有向图的邻接矩阵和最短路径的dijkstra算法
图片尺寸433x237
最优路径之---dijkstra
图片尺寸493x384
最短路径之dijkstra算法
图片尺寸370x290
数据结构与算法迪杰斯特拉dijkstra算法
图片尺寸626x579
有向无环图
图片尺寸467x210
图一.(a)有向图 (b)无向图
图片尺寸720x450
最短路之dijkstra算法_dij能用在有向图吗?-csdn博客
图片尺寸804x474
最短路径问题dijkstra算法最详解
图片尺寸629x575
有向网络带权的有向图的最短路径dijkstra算法
图片尺寸262x251
最短路之dijkstra算法_dij能用在有向图吗?-csdn博客
图片尺寸804x474