fractions

understanding primary fractions
图片尺寸601x768
painless fractions
图片尺寸500x500
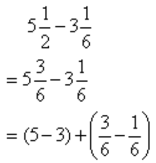
p>分数减法(subtraction of fractions)是 a target="_blank" href="
图片尺寸320x335
银河五虎将词条图册_百度百科
图片尺寸306x432
广州地化所在陆相页岩油赋存状态表征及滞留行为研究中获进展
图片尺寸2048x1091
重庆骨科医师分会第五次年会自体svf技术为治疗骨关节炎带来新方向
图片尺寸1258x839
2008年最佳恐怖片!男主带女友去湖边浪漫,却被一群熊孩子纠缠上
图片尺寸869x421
美议员提案支持贫穷的黑人民权人士持枪抢劫免罪
图片尺寸901x468
菲士康隐形眼镜
图片尺寸220x153
and their co-adsorption behaviors by different size fractions
图片尺寸982x413
代数整数环
图片尺寸600x400
全面搜寻圣诞狗狗
图片尺寸640x360
原子力显微镜afm新突破可随身携带一个针尖进行上千次扫描
图片尺寸1166x418
school, helps students to understand the concept of fractions
图片尺寸600x400
and their co-adsorption behaviors by different size fractions
图片尺寸1227x433
fouls, violations and infractions 犯规,违例和违规ultimate is a
图片尺寸640x445
乔晓强
图片尺寸168x220
and their co-adsorption behaviors by different size fractions
图片尺寸1091x446
湿地里的白色精灵——睡菜
图片尺寸346x461
食品_场所_食物
图片尺寸1080x913